前言
ggplot2 包含很多绘制线条的函数:大致可分为如下几类:
-
连接线:折线(
geom_line)、路径线(geom_path)、阶梯线(geom_step) -
参考线:水平线(
geom_hline)、竖直线(geom_vline)、斜线(geom_abline) -
线段和曲线:
geom_segment、geom_spoke、geom_curve -
函数曲线:
geom_function、stat_function
示例
1. 连接线
主要有三种连接线:
geom_path:按照它们在数据中出现的顺序连接起来geom_line:按 x 轴上变量的顺序连接起来geom_step:创建一个阶梯图,突出显示数据的变化
常用参数:
linetype:线条类型size:线条大小lineend:线端点样式:round,butt,squarelinejoin:线连接点样式:round,mitre,bevelarrow:使用grid::arrow()函数设置箭头样式
绘制一条简单的时间序列折线
ggplot(economics, aes(date, unemploy)) + geom_line()

绘制多条折线
economics_long %>%
subset(variable %in% c("uempmed", "unemploy")) %>%
ggplot(aes(date, value01, colour = variable)) +
geom_line()

翻转线条
ggplot(economics, aes(unemploy, date)) + geom_line(orientation = "y")

如果我们更加关注 y 值的变化情况,可以使用 geom_step 绘制阶梯图
recent <- economics[economics$date > as.date("2013-01-01"), ]
p1 <- ggplot(recent, aes(date, unemploy)) + geom_line()
p2 <- ggplot(recent, aes(date, unemploy)) + geom_step()
plot_grid(p1, p2)

而 geom_path 可以让你探索两个变量是如何随着时间的推移而发生变化的
例如,失业率和个人储蓄率随时间的关系
esamp <- sample_n(economics, 10)
m <- ggplot(esamp, aes(unemploy/pop, psavert))
p1 <- m + geom_path()
p2 <- m + geom_path(aes(colour = as.numeric(date)))
plot_grid(p1, p2)

设置箭头
c <- ggplot(economics, aes(x = date, y = pop))
c1 <- c + geom_line(arrow = arrow())
c2 <- c + geom_line(
arrow = arrow(angle = 15, ends = "both", type = "closed")
)
plot_grid(c1, c2)

更改连接线及端点样式
base <- tibble(x = 1:3, y = c(4, 1, 9)) %>%
ggplot(aes(x, y))
b1 <- base + geom_path(size = 8)
b2 <- base + geom_path(size = 8, lineend = "round")
b3 <- base + geom_path(size = 8, lineend = "round", colour = "red")
b4 <- base + geom_path(size = 8, linejoin = "mitre", lineend = "butt")
plot_grid(b1, b2, b3, b4)

当线条的中间有 na 值时,则会有一个断点
df <- data.frame(x = 1:5, y = c(1, 2, na, 4, 5))
ggplot(df, aes(x, y)) + geom_point() + geom_line()

设置线条类型
economics_long %>%
subset(variable %in% c("uempmed", "unemploy")) %>%
ggplot(aes(date, value01, colour = variable)) +
geom_line(aes(linetype = factor(variable))) +
scale_linetype_manual("variable", values = c(5, 3))

注意:无法同时设置渐变色与线条类型,下面的代码将会报错
economics_long %>%
subset(variable %in% c("uempmed", "unemploy")) %>%
ggplot(aes(date, value01, group = variable)) +
geom_line(aes(colour = value01), linetype = 2)
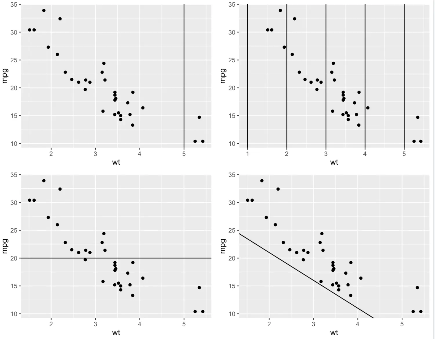
2. 参考线
为图形添加参考线对图形的注释非常有用,主要有水平、竖直和对角线三种参考线,对应于三个函数:
geom_hline:yintercept(y轴截距)geom_vline:xintercept(x轴截距)geom_abline:slope(斜率) 和intercept(截距)
p <- ggplot(mtcars, aes(wt, mpg)) + geom_point()
# 使用固定值
p1 <- p + geom_vline(xintercept = 5)
# 使用向量
p2 <- p + geom_vline(xintercept = 1:5)
# 水平线
p3 <- p + geom_hline(yintercept = 20)
# 斜线
p4 <- p + geom_abline(intercept = 31, slope = -5)
plot_grid(p1, p2, p3, p4)

计算拟合曲线的截距和斜率,然后绘制直线
> coef(lm(mpg ~ wt, data = mtcars))
(intercept) wt
37.285126 -5.344472
> p + geom_abline(intercept = 37, slope = -5)

更简单的方式是使用 geom_smooth 绘制拟合直线
p + geom_smooth(method = "lm", se = false)

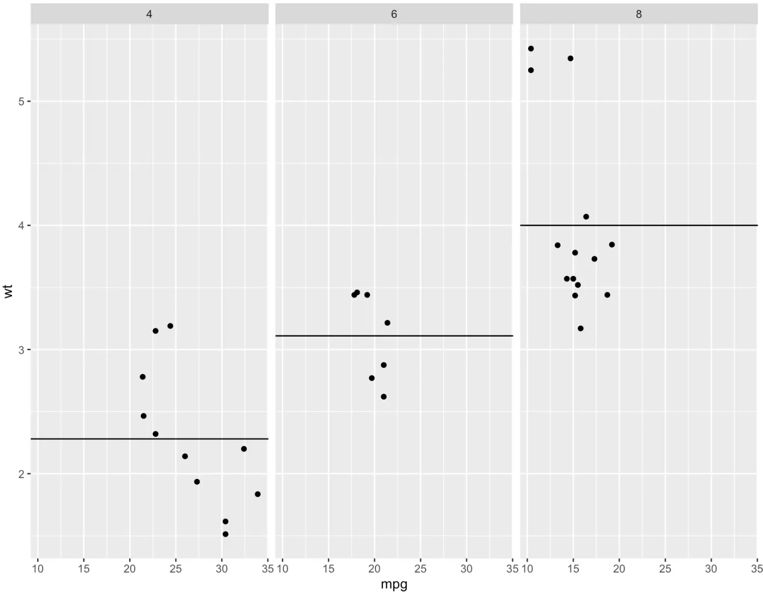
在绘制分面图形的时候,可以为不同的分面绘制不同的直线
p <- ggplot(mtcars, aes(mpg, wt)) +
geom_point() +
facet_wrap(~ cyl)
mean_wt <- data.frame(cyl = c(4, 6, 8), wt = c(2.28, 3.11, 4.00))
p + geom_hline(aes(yintercept = wt), mean_wt)

也可以添加其他属性
ggplot(mtcars, aes(mpg, wt, colour = wt)) +
geom_point() +
geom_hline(aes(yintercept = wt, colour = wt), mean_wt) +
facet_wrap(~ cyl)

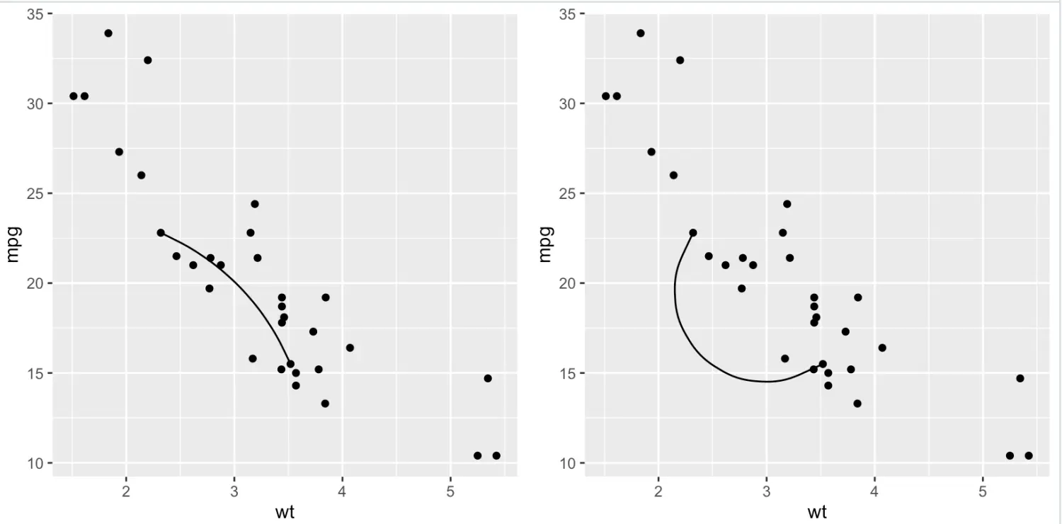
3. 线段和曲线
geom_segment 用于绘制两个点之间的直线,geom_curve 用于绘制两点的曲线。
两个点通过四个参数 (x, y) 和 (xend, yend) 指定坐标。
例如,在散点图中标注两点之间的连接线
b <- ggplot(mtcars, aes(wt, mpg)) +
geom_point()
df <- data.frame(x1 = 2.320, x2 = 3.520, y1 = 22.8, y2 = 15.5)
b +
geom_curve(aes(x = x1, y = y1, xend = x2, yend = y2, colour = "curve"), data = df) +
geom_segment(aes(x = x1, y = y1, xend = x2, yend = y2, colour = "segment"), data = df)

设置不同的曲率
b1 <- b + geom_curve(aes(x = x1, y = y1, xend = x2, yend = y2), data = df, curvature = -0.2)
b2 <- b + geom_curve(aes(x = x1, y = y1, xend = x2, yend = y2), data = df, curvature = 0.9)
plot_grid(b1, b2)

添加箭头
b + geom_curve(
aes(x = x1, y = y1, xend = x2, yend = y2),
data = df,
arrow = arrow(length = unit(0.05, "npc"))
)

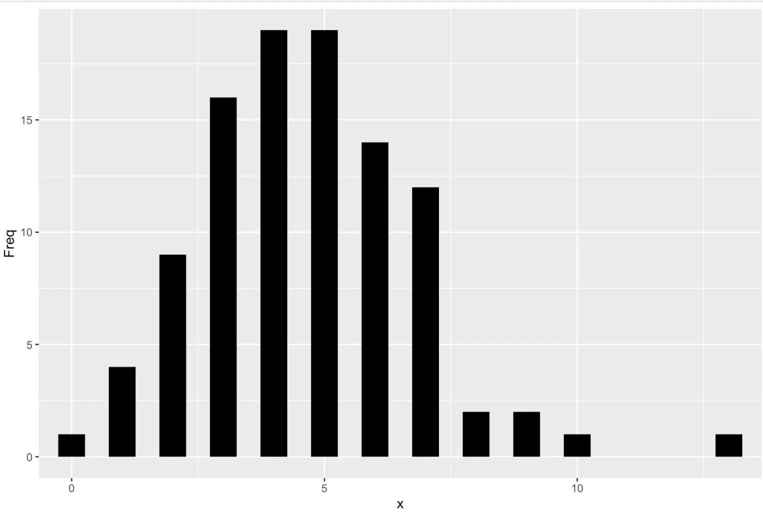
使用 geom_segment 通过设置线段大小来绘制直方图
counts <- as.data.frame(table(x = rpois(100,5)))
counts$x <- as.numeric(as.character(counts$x))
ggplot(counts, aes(x, freq)) +
geom_segment(aes(xend = x, yend = 0), size = 10, lineend = "butt")

而 geom_spoke 是由坐标点 (x, y) 以及角度 (angle) 和 半径 (radius) 指定的线段
df <- expand.grid(x = 1:10, y=1:10)
df$angle <- runif(100, 0, 2*pi)
df$speed <- runif(100, 0, sqrt(0.1 * df$x))
ggplot(df, aes(x, y)) +
geom_point() +
geom_spoke(aes(angle = angle), radius = 0.5)

看起来像是散落的大头针一样
设置可变的半径
ggplot(df, aes(x, y)) +
geom_point() +
geom_spoke(aes(angle = angle, radius = speed))

4. 函数曲线
使用 geom_function 或 stat_function 可以绘制指定函数的曲线,例如
set.seed(2021)
ggplot(data.frame(x = rnorm(100)), aes(x)) +
geom_density() +
geom_function(fun = dnorm, colour = "red")

绘制了函数在数据范围内的曲线
也可以只指定范围,来绘制无数据的函数曲线
base <- ggplot() + xlim(-5, 5)
base + geom_function(fun = dnorm)

设置函数的参数值
base + geom_function(fun = dnorm, args = list(mean = 2, sd = .5))

其底层原理是在一些离散点上执行函数,然后用线将各函数值连接起来
b1 <- base + stat_function(fun = dnorm, geom = "point")
b2 <- base + stat_function(fun = dnorm, geom = "point", n = 20)
plot_grid(b1, b2)

下面两行代码效果是一样的
b1 <- base + geom_function(fun = dnorm, n = 20)
b2 <- base + stat_function(fun = dnorm, geom = "line", n = 20)
plot_grid(b1, b2)

自定义函数
# 一张图绘制不同的函数
p1 <- base +
geom_function(aes(colour = "normal"), fun = dnorm) +
geom_function(aes(colour = "t, df = 1"), fun = dt, args = list(df = 1))
# 使用匿名函数
p2 <- base + geom_function(fun = function(x) 0.5*exp(-abs(x)))
# 同上
p3 <- base + geom_function(fun = ~ 0.5*exp(-abs(.x)))
# 使用自定义函数,效果同上
f <- function(x) 0.5*exp(-abs(x))
p4 <- base + geom_function(fun = f)
plot_grid(p1, p2, p3, p4)

样式图
1. 路线图
sample_n(mtcars, 10) %>%
ggplot(aes(mpg, disp)) +
geom_point(colour = "#69b3a2", na.rm = true) +
geom_segment(aes(xend = c(tail(mpg, n=-1), na),
yend = c(tail(disp, n=-1), na)),
arrow = arrow(length=unit(0.3,"cm")),
colour = "#69b3a2") +
geom_text(aes(label = disp), hjust = 1.2) +
theme_bw()

2. 坡度图
library(ggrepel)
mpg %>%
group_by(year, manufacturer) %>%
summarise(value = sum(displ)) %>%
pivot_wider(names_from = year, values_from = value) %>%
mutate(class = if_else((`1999` - `2008`) > 0, "#8dd3c7", "#bebada")) %>%
ggplot() +
geom_segment(aes(x = 1, xend = 2, y = `1999`, yend = `2008`, colour = class),
size = .75, show.legend = false) +
geom_vline(xintercept = 1, linetype = "solid", size = 1, colour = "#ff7f00") +
geom_vline(xintercept = 2, linetype = "solid", size = 1, colour = "#1f78b4") +
geom_point(aes(x = 1, y = `1999`), size = 3, shape = 21, fill = "green") +
geom_point(aes(x = 2, y = `2008`), size = 3, shape = 21, fill = "red") +
scale_colour_manual(labels = c("up", "down"), values = c("#8dd3c7", "#bebada")) +
xlim(.5, 2.5) +
geom_text_repel(aes(x = 1, y = `1999`, label = `1999`),
hjust = "left", size = 3.5) +
geom_text_repel(aes(x = 2, y = `2008`, label = `2008`),
hjust = "right", size = 3.5) +
geom_text(aes(y = 1.03*max(max(`1999`), max(`2008`))), label = "1999", x = 1,
size = 5, hjust = 1.2) +
geom_text(aes(y = 1.03*max(max(`1999`), max(`2008`))), label = "2008", x = 2,
size = 5, hjust = -.2) +
theme_void()

在这个例子中,由于点有重叠的现象,导致标签也会重叠在一起。
所以我们使用了 ggplot2 的扩展包 ggrepel 的 geom_text_repel 来绘制不重叠标签。
发表评论