前言
plot()函数的应用
一、plot()函数语法
1.1、绘制二维线图
绘制横轴为x,竖轴为y二维线图,y值与x值一一对应
plot(x,y)
1.1.1、例子
import matplotlib.pyplot as plt import numpy as np x=np.array([1,2,3,4]) y=np.array([3,4,5,6]) plt.plot(x,y) plt.show()

1.2、设置线型、标记符号和颜色
plot(x,y,linespec)
linespec — 线型、标记和颜色
线型、标记和颜色,指定为包含符号的字符向量或字符串。符号可以按任意顺序显示。不需要同时指定所有三个特征(线型、标记和颜色)。
例如,如果忽略线型,只指定标记,则绘图只显示标记,不显示线条。
1.2.1、线型

1.2.2、标记

1.2.3、颜色

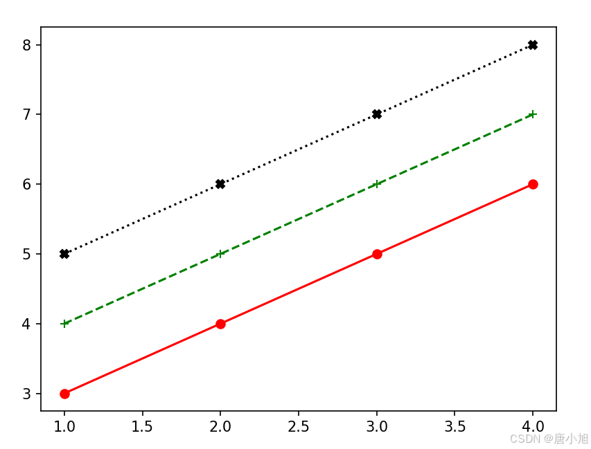
1.2.4、例子
示例: ‘-or’ 是带有圆形标记的红色实线
示例: ‘–+g’ 是带有加号标记的绿色虚线
示例:‘:xk’ 是带有叉号标记的黑色点线
import matplotlib.pyplot as plt import numpy as np x=np.array([1,2,3,4]) y=np.array([3,4,5,6]) plt.plot(x,y,'-or') plt.plot(x,y+1,'--+g') plt.plot(x,y+2,':xk') plt.show()

1.3、绘制多组二维线图
绘制横轴为x,竖轴为y的多组二维线图,y值与x值一一对应,所有线条都使用相同的坐标区。
plot(x1,y1,...,xn,yn)
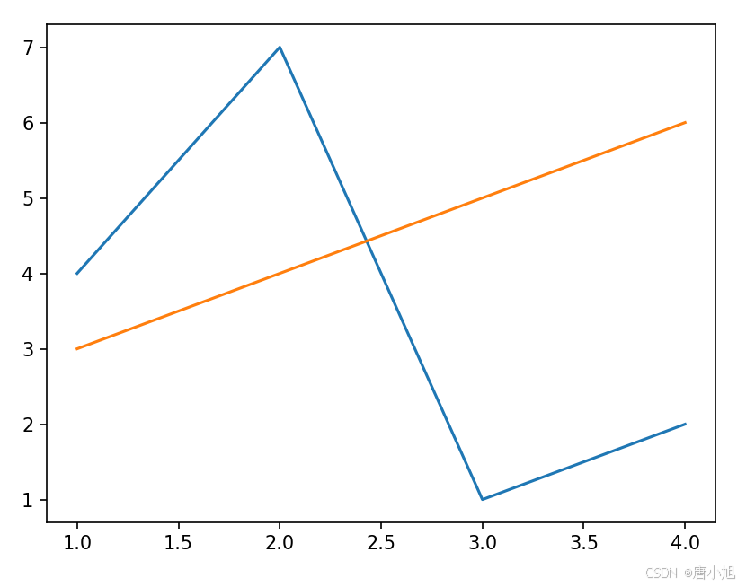
1.3.1、例子
import matplotlib.pyplot as plt import numpy as np x1=np.array([1,2,3,4]) x2=np.array([1,2,3,4]) y1=np.array([4,7,1,2]) y2=np.array([3,4,5,6]) plt.plot(x1,y1,x2,y2) plt.show()

1.4、设置多组线图的线型、标记和颜色
plot(x1,y1,linespec1,...,xn,yn,linespecn)
可以混用 x、y、linespec 三元组和 x、y 对组
例如:
plot(x1,y1,x2,y2,linespec2,x3,y3)
1.4.1、例子
import matplotlib.pyplot as plt import numpy as np x1=np.array([1,2,3,4]) x2=np.array([1,2,3,4]) y1=np.array([4,7,1,2]) y2=np.array([3,4,5,6]) plt.plot(x1,y1,'-og',x2,y2,'--+r') plt.show()

1.5、创建 y 中数据对每个值索引的二维线图
plot(y)
如果 y 是向量,x 轴的刻度范围是从 1 至 length(y)。
如果 y 是矩阵,则 plot 函数绘制 y 中各列对其行号的图。x 轴的刻度范围是从 1 到 y 的行数。
如果 y 是复数,则 plot 函数绘制 y 的虚部对 y 的实部的图,使得 plot(y) 等效于 plot(real(y),imag(y))。
1.5.1、例子
import matplotlib.pyplot as plt import numpy as np x1=np.array([1,2,3,4]) y1=np.array([4,7,1,2]) plt.plot(y1) plt.show()

总结
例如:以上就是今天要讲的内容,本文仅仅简单介绍了pandas的使用,而pandas提供了大量能使我们快速便捷地处理数据的函数和方法。
到此这篇关于python中plot函数语法详解的文章就介绍到这了,更多相关python plot函数语法内容请搜索代码网以前的文章或继续浏览下面的相关文章希望大家以后多多支持代码网!
发表评论