湖南2024年高考一分一段表已经公布,请湖南考生们耐心等待,小编已经整理了2024年湖南高考一分一段表,小伙伴可以参考一下。一分一段表可以让考生对每一个分数段上有多少人一目了然,也能清楚确定自己高考成绩在湖南的位置。下面是2024年湖南高考一分一段表,一起来看一下吧!

2024湖南高考物一分一段表
2024湖南高考物理类一分一段表:





2024湖南历史类一分一段表:





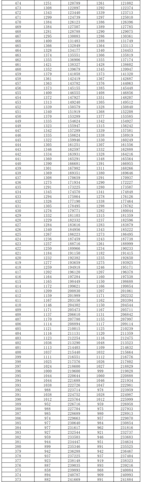
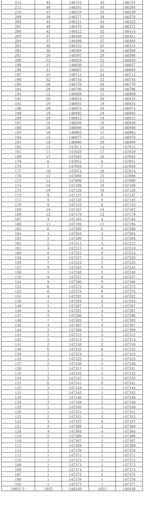
2023湖南高考物理类一分一段表
| 湖南省2023年普通高考档分1分段统计表(物理科目组合) | ||||
| 档分 | 本段人数 | 累计人数 | 本段人数 | 累计人数 |
| (含全国性加分) | (含全国性和地方性加分) | |||
| 688 | 13 | 57 | 13 | 60 |
| 687 | 5 | 62 | 5 | 65 |
| 686 | 9 | 71 | 9 | 74 |
| 685 | 12 | 83 | 12 | 86 |
| 684 | 12 | 95 | 11 | 97 |
| 683 | 15 | 110 | 16 | 113 |
| 682 | 16 | 126 | 16 | 129 |
| 681 | 19 | 145 | 18 | 147 |
| 680 | 20 | 165 | 21 | 168 |
| 679 | 12 | 177 | 14 | 182 |
| 678 | 32 | 209 | 35 | 217 |
| 677 | 31 | 240 | 31 | 248 |
| 676 | 23 | 263 | 23 | 271 |
| 675 | 32 | 295 | 30 | 301 |
| 674 | 27 | 322 | 27 | 328 |
| 673 | 48 | 370 | 47 | 375 |
| 672 | 29 | 399 | 30 | 405 |
| 671 | 43 | 442 | 42 | 447 |
| 670 | 33 | 475 | 34 | 481 |
| 669 | 56 | 531 | 59 | 540 |
| 668 | 44 | 575 | 45 | 585 |
| 667 | 36 | 611 | 39 | 624 |
| 666 | 63 | 674 | 64 | 688 |
| 665 | 66 | 740 | 68 | 756 |
| 664 | 63 | 803 | 63 | 819 |
| 663 | 60 | 863 | 62 | 881 |
| 662 | 76 | 939 | 72 | 953 |
| 661 | 86 | 1025 | 88 | 1041 |
| 660 | 80 | 1105 | 77 | 1118 |
| 659 | 94 | 1199 | 95 | 1213 |
| 658 | 95 | 1294 | 100 | 1313 |
| 657 | 93 | 1387 | 94 | 1407 |
| 656 | 98 | 1485 | 103 | 1510 |
| 655 | 101 | 1586 | 102 | 1612 |
| 654 | 116 | 1702 | 122 | 1734 |
| 653 | 107 | 1809 | 106 | 1840 |
| 652 | 122 | 1931 | 126 | 1966 |
| 651 | 136 | 2067 | 136 | 2102 |
| 650 | 117 | 2184 | 111 | 2213 |
| 649 | 115 | 2299 | 118 | 2331 |
| 648 | 162 | 2461 | 164 | 2495 |
| 647 | 123 | 2584 | 124 | 2619 |
| 646 | 146 | 2730 | 137 | 2756 |
| 645 | 187 | 2917 | 187 | 2943 |
| 644 | 153 | 3070 | 149 | 3092 |
| 643 | 168 | 3238 | 168 | 3260 |
| 642 | 177 | 3415 | 184 | 3444 |
| 641 | 180 | 3595 | 180 | 3624 |
| 640 | 148 | 3743 | 155 | 3779 |
| 639 | 197 | 3940 | 195 | 3974 |
| 638 | 192 | 4132 | 196 | 4170 |
| 637 | 203 | 4335 | 195 | 4365 |
| 636 | 195 | 4530 | 202 | 4567 |
| 635 | 185 | 4715 | 182 | 4749 |
| 634 | 197 | 4912 | 199 | 4948 |
| 633 | 208 | 5120 | 210 | 5158 |
| 632 | 175 | 5295 | 182 | 5340 |
| 631 | 201 | 5496 | 204 | 5544 |
| 630 | 227 | 5723 | 227 | 5771 |
| 629 | 241 | 5964 | 251 | 6022 |
| 628 | 224 | 6188 | 218 | 6240 |
| 627 | 239 | 6427 | 243 | 6483 |
| 626 | 246 | 6673 | 242 | 6725 |
| 625 | 249 | 6922 | 259 | 6984 |
| 624 | 240 | 7162 | 237 | 7221 |
| 623 | 268 | 7430 | 262 | 7483 |
| 622 | 291 | 7721 | 289 | 7772 |
| 621 | 290 | 8011 | 296 | 8068 |
| 620 | 269 | 8280 | 275 | 8343 |
| 619 | 280 | 8560 | 280 | 8623 |
| 618 | 305 | 8865 | 302 | 8925 |
| 617 | 317 | 9182 | 319 | 9244 |
| 616 | 279 | 9461 | 280 | 9524 |
| 615 | 291 | 9752 | 298 | 9822 |
| 614 | 308 | 10060 | 308 | 10130 |
| 613 | 364 | 10424 | 364 | 10494 |
| 612 | 347 | 10771 | 340 | 10834 |
| 611 | 363 | 11134 | 370 | 11204 |
| 610 | 325 | 11459 | 320 | 11524 |
| 609 | 333 | 11792 | 334 | 11858 |
| 608 | 377 | 12169 | 374 | 12232 |
| 607 | 350 | 12519 | 359 | 12591 |
| 606 | 341 | 12860 | 348 | 12939 |
| 605 | 367 | 13227 | 371 | 13310 |
| 604 | 376 | 13603 | 364 | 13674 |
| 603 | 386 | 13989 | 386 | 14060 |
| 602 | 381 | 14370 | 392 | 14452 |
| 601 | 378 | 14748 | 383 | 14835 |
| 600 | 401 | 15149 | 408 | 15243 |
| 599 | 358 | 15507 | 367 | 15610 |
| 598 | 419 | 15926 | 421 | 16031 |
| 597 | 399 | 16325 | 397 | 16428 |
| 596 | 462 | 16787 | 462 | 16890 |
| 595 | 412 | 17199 | 413 | 17303 |
| 594 | 406 | 17605 | 401 | 17704 |
| 593 | 415 | 18020 | 423 | 18127 |
| 592 | 442 | 18462 | 443 | 18570 |
| 591 | 416 | 18878 | 416 | 18986 |
| 590 | 421 | 19299 | 414 | 19400 |
| 589 | 426 | 19725 | 439 | 19839 |
| 588 | 468 | 20193 | 459 | 20298 |
| 587 | 472 | 20665 | 468 | 20766 |
| 586 | 429 | 21094 | 434 | 21200 |
| 585 | 483 | 21577 | 483 | 21683 |
| 584 | 460 | 22037 | 467 | 22150 |
| 583 | 502 | 22539 | 501 | 22651 |
| 582 | 443 | 22982 | 442 | 23093 |
| 581 | 505 | 23487 | 504 | 23597 |
| 580 | 477 | 23964 | 469 | 24066 |
| 579 | 505 | 24469 | 502 | 24568 |
| 578 | 520 | 24989 | 518 | 25086 |
| 577 | 527 | 25516 | 534 | 25620 |
| 576 | 569 | 26085 | 558 | 26178 |
| 575 | 535 | 26620 | 541 | 26719 |
| 574 | 503 | 27123 | 513 | 27232 |
| 573 | 540 | 27663 | 544 | 27776 |
| 572 | 532 | 28195 | 532 | 28308 |
| 571 | 588 | 28783 | 597 | 28905 |
| 570 | 559 | 29342 | 562 | 29467 |
| 569 | 589 | 29931 | 584 | 30051 |
| 568 | 523 | 30454 | 525 | 30576 |
| 567 | 575 | 31029 | 573 | 31149 |
| 566 | 583 | 31612 | 581 | 31730 |
| 565 | 580 | 32192 | 580 | 32310 |
| 564 | 595 | 32787 | 601 | 32911 |
| 563 | 570 | 33357 | 581 | 33492 |
| 562 | 627 | 33984 | 622 | 34114 |
| 561 | 578 | 34562 | 578 | 34692 |
| 560 | 604 | 35166 | 603 | 35295 |
| 559 | 619 | 35785 | 627 | 35922 |
| 558 | 637 | 36422 | 625 | 36547 |
| 557 | 606 | 37028 | 616 | 37163 |
| 556 | 638 | 37666 | 642 | 37805 |
| 555 | 610 | 38276 | 613 | 38418 |
| 554 | 626 | 38902 | 619 | 39037 |
| 553 | 696 | 39598 | 695 | 39732 |
| 552 | 626 | 40224 | 631 | 40363 |
| 551 | 661 | 40885 | 664 | 41027 |
| 550 | 651 | 41536 | 640 | 41667 |
| 549 | 655 | 42191 | 670 | 42337 |
| 548 | 655 | 42846 | 673 | 43010 |
| 547 | 655 | 43501 | 670 | 43680 |
| 546 | 687 | 44188 | 688 | 44368 |
| 545 | 714 | 44902 | 695 | 45063 |
| 544 | 735 | 45637 | 735 | 45798 |
| 543 | 677 | 46314 | 675 | 46473 |
| 542 | 676 | 46990 | 687 | 47160 |
| 541 | 715 | 47705 | 706 | 47866 |
| 540 | 731 | 48436 | 730 | 48596 |
| 539 | 803 | 49239 | 797 | 49393 |
| 538 | 725 | 49964 | 719 | 50112 |
| 537 | 730 | 50694 | 738 | 50850 |
| 536 | 748 | 51442 | 760 | 51610 |
| 535 | 711 | 52153 | 706 | 52316 |
| 534 | 726 | 52879 | 719 | 53035 |
| 533 | 753 | 53632 | 769 | 53804 |
| 532 | 795 | 54427 | 812 | 54616 |
| 531 | 733 | 55160 | 728 | 55344 |
| 530 | 803 | 55963 | 795 | 56139 |
| 529 | 765 | 56728 | 763 | 56902 |
| 528 | 782 | 57510 | 778 | 57680 |
| 527 | 793 | 58303 | 787 | 58467 |
| 526 | 767 | 59070 | 764 | 59231 |
| 525 | 779 | 59849 | 776 | 60007 |
| 524 | 779 | 60628 | 777 | 60784 |
| 523 | 816 | 61444 | 831 | 61615 |
| 522 | 829 | 62273 | 828 | 62443 |
| 521 | 865 | 63138 | 877 | 63320 |
| 520 | 864 | 64002 | 857 | 64177 |
| 519 | 858 | 64860 | 868 | 65045 |
| 518 | 849 | 65709 | 838 | 65883 |
| 517 | 826 | 66535 | 814 | 66697 |
| 516 | 882 | 67417 | 880 | 67577 |
| 515 | 839 | 68256 | 855 | 68432 |
| 514 | 812 | 69068 | 800 | 69232 |
| 513 | 849 | 69917 | 868 | 70100 |
| 512 | 894 | 70811 | 892 | 70992 |
| 511 | 864 | 71675 | 857 | 71849 |
| 510 | 828 | 72503 | 819 | 72668 |
| 509 | 895 | 73398 | 896 | 73564 |
| 508 | 913 | 74311 | 925 | 74489 |
| 507 | 850 | 75161 | 863 | 75352 |
| 506 | 882 | 76043 | 884 | 76236 |
| 505 | 847 | 76890 | 848 | 77084 |
| 504 | 887 | 77777 | 880 | 77964 |
| 503 | 883 | 78660 | 882 | 78846 |
| 502 | 928 | 79588 | 939 | 79785 |
| 501 | 912 | 80500 | 913 | 80698 |
| 500 | 846 | 81346 | 840 | 81538 |
| 499 | 910 | 82256 | 906 | 82444 |
| 498 | 944 | 83200 | 951 | 83395 |
| 497 | 912 | 84112 | 912 | 84307 |
| 496 | 917 | 85029 | 909 | 85216 |
| 495 | 981 | 86010 | 986 | 86202 |
| 494 | 908 | 86918 | 916 | 87118 |
| 493 | 901 | 87819 | 913 | 88031 |
| 492 | 923 | 88742 | 924 | 88955 |
| 491 | 905 | 89647 | 919 | 89874 |
| 490 | 969 | 90616 | 955 | 90829 |
| 489 | 995 | 91611 | 990 | 91819 |
| 488 | 1007 | 92618 | 1001 | 92820 |
| 487 | 926 | 93544 | 926 | 93746 |
| 486 | 974 | 94518 | 977 | 94723 |
| 485 | 993 | 95511 | 983 | 95706 |
| 484 | 996 | 96507 | 1002 | 96708 |
| 483 | 970 | 97477 | 972 | 97680 |
| 482 | 968 | 98445 | 975 | 98655 |
| 481 | 1021 | 99466 | 1009 | 99664 |
| 480 | 991 | 100457 | 995 | 100659 |
| 479 | 991 | 101448 | 1001 | 101660 |
| 478 | 1029 | 102477 | 1035 | 102695 |
| 477 | 989 | 103466 | 976 | 103671 |
| 476 | 973 | 104439 | 976 | 104647 |
| 475 | 1014 | 105453 | 1022 | 105669 |
| 474 | 1026 | 106479 | 1023 | 106692 |
| 473 | 1064 | 107543 | 1048 | 107740 |
| 472 | 991 | 108534 | 976 | 108716 |
| 471 | 1027 | 109561 | 1017 | 109733 |
| 470 | 962 | 110523 | 963 | 110696 |
| 469 | 1020 | 111543 | 1019 | 111715 |
| 468 | 1069 | 112612 | 1079 | 112794 |
| 467 | 998 | 113610 | 1015 | 113809 |
| 466 | 1034 | 114644 | 1034 | 114843 |
| 465 | 1056 | 115700 | 1065 | 115908 |
| 464 | 1062 | 116762 | 1060 | 116968 |
| 463 | 1026 | 117788 | 1041 | 118009 |
| 462 | 1116 | 118904 | 1119 | 119128 |
| 461 | 997 | 119901 | 1017 | 120145 |
| 460 | 1047 | 120948 | 1046 | 121191 |
| 459 | 982 | 121930 | 982 | 122173 |
| 458 | 1031 | 122961 | 1016 | 123189 |
| 457 | 1081 | 124042 | 1079 | 124268 |
| 456 | 1067 | 125109 | 1055 | 125323 |
| 455 | 1056 | 126165 | 1047 | 126370 |
| 454 | 1080 | 127245 | 1097 | 127467 |
| 453 | 1116 | 128361 | 1131 | 128598 |
| 452 | 1053 | 129414 | 1065 | 129663 |
| 451 | 1087 | 130501 | 1085 | 130748 |
| 450 | 1043 | 131544 | 1041 | 131789 |
| 449 | 1112 | 132656 | 1111 | 132900 |
| 448 | 1083 | 133739 | 1090 | 133990 |
| 447 | 1095 | 134834 | 1074 | 135064 |
| 446 | 1065 | 135899 | 1052 | 136116 |
| 445 | 1043 | 136942 | 1048 | 137164 |
| 444 | 1068 | 138010 | 1077 | 138241 |
| 443 | 1092 | 139102 | 1069 | 139310 |
| 442 | 1080 | 140182 | 1086 | 140396 |
| 441 | 1051 | 141233 | 1058 | 141454 |
| 440 | 1056 | 142289 | 1061 | 142515 |
| 439 | 1088 | 143377 | 1083 | 143598 |
| 438 | 1041 | 144418 | 1042 | 144640 |
| 437 | 1105 | 145523 | 1093 | 145733 |
| 436 | 1088 | 146611 | 1081 | 146814 |
| 435 | 1080 | 147691 | 1097 | 147911 |
| 434 | 1117 | 148808 | 1120 | 149031 |
| 433 | 1055 | 149863 | 1057 | 150088 |
| 432 | 1095 | 150958 | 1100 | 151188 |
| 431 | 1081 | 152039 | 1097 | 152285 |
| 430 | 1078 | 153117 | 1069 | 153354 |
| 429 | 1051 | 154168 | 1052 | 154406 |
| 428 | 1057 | 155225 | 1055 | 155461 |
| 427 | 1071 | 156296 | 1065 | 156526 |
| 426 | 1153 | 157449 | 1146 | 157672 |
| 425 | 1105 | 158554 | 1085 | 158757 |
| 424 | 1038 | 159592 | 1048 | 159805 |
| 423 | 1063 | 160655 | 1058 | 160863 |
| 422 | 1085 | 161740 | 1090 | 161953 |
| 421 | 1078 | 162818 | 1067 | 163020 |
| 420 | 1071 | 163889 | 1065 | 164085 |
| 419 | 1076 | 164965 | 1080 | 165165 |
| 418 | 1105 | 166070 | 1094 | 166259 |
| 417 | 1047 | 167117 | 1057 | 167316 |
| 416 | 1080 | 168197 | 1088 | 168404 |
| 415 | 1075 | 169272 | 1079 | 169483 |
| 414 | 1035 | 170307 | 1032 | 170515 |
| 413 | 1010 | 171317 | 994 | 171509 |
| 412 | 984 | 172301 | 979 | 172488 |
| 411 | 987 | 173288 | 982 | 173470 |
| 410 | 1009 | 174297 | 1022 | 174492 |
| 409 | 1036 | 175333 | 1028 | 175520 |
| 408 | 998 | 176331 | 1009 | 176529 |
| 407 | 964 | 177295 | 973 | 177502 |
| 406 | 1024 | 178319 | 1036 | 178538 |
| 405 | 972 | 179291 | 967 | 179505 |
| 404 | 992 | 180283 | 992 | 180497 |
| 403 | 942 | 181225 | 943 | 181440 |
| 402 | 980 | 182205 | 981 | 182421 |
| 401 | 1014 | 183219 | 1023 | 183444 |
| 400 | 988 | 184207 | 974 | 184418 |
| 399 | 974 | 185181 | 960 | 185378 |
| 398 | 911 | 186092 | 911 | 186289 |
| 397 | 974 | 187066 | 967 | 187256 |
| 396 | 1014 | 188080 | 1020 | 188276 |
| 395 | 974 | 189054 | 970 | 189246 |
| 394 | 981 | 190035 | 974 | 190220 |
| 393 | 948 | 190983 | 936 | 191156 |
| 392 | 940 | 191923 | 941 | 192097 |
| 391 | 939 | 192862 | 945 | 193042 |
| 390 | 911 | 193773 | 923 | 193965 |
| 389 | 894 | 194667 | 906 | 194871 |
| 388 | 952 | 195619 | 954 | 195825 |
| 387 | 897 | 196516 | 892 | 196717 |
| 386 | 924 | 197440 | 906 | 197623 |
| 385 | 961 | 198401 | 945 | 198568 |
| 384 | 890 | 199291 | 900 | 199468 |
| 383 | 889 | 200180 | 897 | 200365 |
| 382 | 887 | 201067 | 900 | 201265 |
| 381 | 849 | 201916 | 846 | 202111 |
| 380 | 855 | 202771 | 858 | 202969 |
| 379 | 869 | 203640 | 864 | 203833 |
| 378 | 813 | 204453 | 814 | 204647 |
| 377 | 866 | 205319 | 845 | 205492 |
| 376 | 843 | 206162 | 842 | 206334 |
| 375 | 868 | 207030 | 867 | 207201 |
| 374 | 813 | 207843 | 814 | 208015 |
| 373 | 845 | 208688 | 843 | 208858 |
| 372 | 814 | 209502 | 802 | 209660 |
| 371 | 817 | 210319 | 823 | 210483 |
| 370 | 821 | 211140 | 835 | 211318 |
| 369 | 811 | 211951 | 828 | 212146 |
| 368 | 861 | 212812 | 868 | 213014 |
| 367 | 810 | 213622 | 814 | 213828 |
| 366 | 812 | 214434 | 801 | 214629 |
| 365 | 852 | 215286 | 848 | 215477 |
| 364 | 806 | 216092 | 791 | 216268 |
| 363 | 741 | 216833 | 735 | 217003 |
| 362 | 774 | 217607 | 782 | 217785 |
| 361 | 729 | 218336 | 741 | 218526 |
| 360 | 756 | 219092 | 741 | 219267 |
| 359 | 764 | 219856 | 769 | 220036 |
| 358 | 790 | 220646 | 784 | 220820 |
| 357 | 721 | 221367 | 736 | 221556 |
| 356 | 793 | 222160 | 777 | 222333 |
| 355 | 707 | 222867 | 707 | 223040 |
| 354 | 737 | 223604 | 733 | 223773 |
| 353 | 702 | 224306 | 697 | 224470 |
| 352 | 735 | 225041 | 725 | 225195 |
| 351 | 746 | 225787 | 743 | 225938 |
| 350 | 739 | 226526 | 751 | 226689 |
| 349 | 663 | 227189 | 671 | 227360 |
| 348 | 674 | 227863 | 675 | 228035 |
| 347 | 699 | 228562 | 691 | 228726 |
| 346 | 675 | 229237 | 674 | 229400 |
| 345 | 679 | 229916 | 670 | 230070 |
| 344 | 674 | 230590 | 681 | 230751 |
| 343 | 624 | 231214 | 622 | 231373 |
| 342 | 657 | 231871 | 652 | 232025 |
| 341 | 636 | 232507 | 628 | 232653 |
| 340 | 703 | 233210 | 697 | 233350 |
| 339 | 628 | 233838 | 634 | 233984 |
| 338 | 596 | 234434 | 590 | 234574 |
| 337 | 642 | 235076 | 643 | 235217 |
| 336 | 619 | 235695 | 613 | 235830 |
| 335 | 608 | 236303 | 598 | 236428 |
| 334 | 629 | 236932 | 629 | 237057 |
| 333 | 608 | 237540 | 612 | 237669 |
| 332 | 635 | 238175 | 642 | 238311 |
| 331 | 589 | 238764 | 593 | 238904 |
| 330 | 621 | 239385 | 619 | 239523 |
| 329 | 601 | 239986 | 596 | 240119 |
| 328 | 571 | 240557 | 580 | 240699 |
| 327 | 571 | 241128 | 566 | 241265 |
| 326 | 539 | 241667 | 544 | 241809 |
| 325 | 549 | 242216 | 555 | 242364 |
| 324 | 540 | 242756 | 536 | 242900 |
| 323 | 524 | 243280 | 523 | 243423 |
| 322 | 545 | 243825 | 545 | 243968 |
| 321 | 533 | 244358 | 535 | 244503 |
| 320 | 511 | 244869 | 507 | 245010 |
| 319 | 513 | 245382 | 514 | 245524 |
| 318 | 538 | 245920 | 526 | 246050 |
| 317 | 529 | 246449 | 533 | 246583 |
| 316 | 521 | 246970 | 527 | 247110 |
| 315 | 499 | 247469 | 494 | 247604 |
| 314 | 497 | 247966 | 495 | 248099 |
| 313 | 463 | 248429 | 466 | 248565 |
| 312 | 483 | 248912 | 480 | 249045 |
| 311 | 461 | 249373 | 445 | 249490 |
| 310 | 455 | 249828 | 449 | 249939 |
| 309 | 493 | 250321 | 488 | 250427 |
| 308 | 487 | 250808 | 489 | 250916 |
| 307 | 484 | 251292 | 469 | 251385 |
| 306 | 473 | 251765 | 474 | 251859 |
| 305 | 435 | 252200 | 425 | 252284 |
| 304 | 444 | 252644 | 447 | 252731 |
| 303 | 434 | 253078 | 434 | 253165 |
| 302 | 428 | 253506 | 430 | 253595 |
| 301 | 439 | 253945 | 432 | 254027 |
| 300 | 448 | 254393 | 443 | 254470 |
| 299 | 399 | 254792 | 402 | 254872 |
| 298 | 431 | 255223 | 434 | 255306 |
| 297 | 386 | 255609 | 389 | 255695 |
| 296 | 384 | 255993 | 387 | 256082 |
| 295 | 381 | 256374 | 380 | 256462 |
| 294 | 415 | 256789 | 413 | 256875 |
| 293 | 407 | 257196 | 401 | 257276 |
| 292 | 369 | 257565 | 382 | 257658 |
| 291 | 411 | 257976 | 414 | 258072 |
| 290 | 370 | 258346 | 372 | 258444 |
| 289 | 413 | 258759 | 403 | 258847 |
| 288 | 379 | 259138 | 387 | 259234 |
| 287 | 370 | 259508 | 358 | 259592 |
| 286 | 399 | 259907 | 398 | 259990 |
| 285 | 381 | 260288 | 373 | 260363 |
| 284 | 340 | 260628 | 345 | 260708 |
| 283 | 344 | 260972 | 345 | 261053 |
| 282 | 349 | 261321 | 351 | 261404 |
| 281 | 334 | 261655 | 338 | 261742 |
| 280 | 342 | 261997 | 344 | 262086 |
| 279 | 330 | 262327 | 326 | 262412 |
| 278 | 311 | 262638 | 302 | 262714 |
| 277 | 321 | 262959 | 319 | 263033 |
| 276 | 312 | 263271 | 310 | 263343 |
| 275 | 345 | 263616 | 334 | 263677 |
| 274 | 318 | 263934 | 316 | 263993 |
| 273 | 267 | 264201 | 267 | 264260 |
| 272 | 291 | 264492 | 289 | 264549 |
| 271 | 305 | 264797 | 314 | 264863 |
| 270 | 289 | 265086 | 290 | 265153 |
| 269 | 300 | 265386 | 300 | 265453 |
| 268 | 285 | 265671 | 278 | 265731 |
| 267 | 295 | 265966 | 295 | 266026 |
| 266 | 292 | 266258 | 292 | 266318 |
| 265 | 265 | 266523 | 259 | 266577 |
| 264 | 290 | 266813 | 281 | 266858 |
| 263 | 257 | 267070 | 258 | 267116 |
| 262 | 266 | 267336 | 271 | 267387 |
| 261 | 269 | 267605 | 270 | 267657 |
| 260 | 255 | 267860 | 252 | 267909 |
| 259 | 232 | 268092 | 228 | 268137 |
| 258 | 259 | 268351 | 260 | 268397 |
| 257 | 233 | 268584 | 227 | 268624 |
| 256 | 228 | 268812 | 226 | 268850 |
| 255 | 206 | 269018 | 207 | 269057 |
| 254 | 204 | 269222 | 207 | 269264 |
| 253 | 227 | 269449 | 230 | 269494 |
| 252 | 201 | 269650 | 199 | 269693 |
| 251 | 201 | 269851 | 195 | 269888 |
| 250 | 216 | 270067 | 213 | 270101 |
| 249 | 209 | 270276 | 202 | 270303 |
| 248 | 192 | 270468 | 195 | 270498 |
| 247 | 181 | 270649 | 176 | 270674 |
| 246 | 196 | 270845 | 195 | 270869 |
| 245 | 185 | 271030 | 186 | 271055 |
| 244 | 165 | 271195 | 168 | 271223 |
| 243 | 194 | 271389 | 196 | 271419 |
| 242 | 170 | 271559 | 167 | 271586 |
| 241 | 171 | 271730 | 169 | 271755 |
| 240 | 179 | 271909 | 176 | 271931 |
| 239 | 158 | 272067 | 160 | 272091 |
| 238 | 167 | 272234 | 165 | 272256 |
| 237 | 155 | 272389 | 158 | 272414 |
| 236 | 135 | 272524 | 132 | 272546 |
| 235 | 162 | 272686 | 158 | 272704 |
| 234 | 133 | 272819 | 126 | 272830 |
| 233 | 129 | 272948 | 133 | 272963 |
| 232 | 140 | 273088 | 140 | 273103 |
| 231 | 135 | 273223 | 139 | 273242 |
| 230 | 139 | 273362 | 140 | 273382 |
| 229 | 143 | 273505 | 141 | 273523 |
| 228 | 116 | 273621 | 113 | 273636 |
| 227 | 116 | 273737 | 111 | 273747 |
| 226 | 103 | 273840 | 102 | 273849 |
| 225 | 98 | 273938 | 99 | 273948 |
| 224 | 105 | 274043 | 107 | 274055 |
| 223 | 102 | 274145 | 103 | 274158 |
| 222 | 102 | 274247 | 103 | 274261 |
| 221 | 86 | 274333 | 86 | 274347 |
| 220 | 78 | 274411 | 79 | 274426 |
| 219 | 86 | 274497 | 85 | 274511 |
| 218 | 89 | 274586 | 93 | 274604 |
| 217 | 87 | 274673 | 84 | 274688 |
| 216 | 101 | 274774 | 102 | 274790 |
| 215 | 103 | 274877 | 102 | 274892 |
| 214 | 72 | 274949 | 70 | 274962 |
| 213 | 69 | 275018 | 65 | 275027 |
| 212 | 80 | 275098 | 80 | 275107 |
| 211 | 57 | 275155 | 59 | 275166 |
| 210 | 57 | 275212 | 56 | 275222 |
| 209 | 48 | 275260 | 47 | 275269 |
| 208 | 53 | 275313 | 50 | 275319 |
| 207 | 46 | 275359 | 46 | 275365 |
| 206 | 49 | 275408 | 47 | 275412 |
| 205 | 52 | 275460 | 52 | 275464 |
| 204 | 43 | 275503 | 42 | 275506 |
| 203 | 49 | 275552 | 48 | 275554 |
| 202 | 45 | 275597 | 46 | 275600 |
| 201 | 36 | 275633 | 35 | 275635 |
| 200 | 35 | 275668 | 36 | 275671 |
| 199 | 46 | 275714 | 45 | 275716 |
| 198 | 40 | 275754 | 40 | 275756 |
| 197 | 32 | 275786 | 32 | 275788 |
| 196 | 25 | 275811 | 24 | 275812 |
| 195 | 26 | 275837 | 25 | 275837 |
| 194 | 18 | 275855 | 18 | 275855 |
| 193 | 31 | 275886 | 31 | 275886 |
| 192 | 24 | 275910 | 24 | 275910 |
| 191 | 17 | 275927 | 18 | 275928 |
| 190 | 29 | 275956 | 29 | 275957 |
| 189 | 17 | 275973 | 17 | 275974 |
| 188 | 16 | 275989 | 16 | 275990 |
| 187 | 14 | 276003 | 14 | 276004 |
| 186 | 23 | 276026 | 23 | 276027 |
| 185 | 14 | 276040 | 14 | 276041 |
| 184 | 17 | 276057 | 17 | 276058 |
| 183 | 26 | 276083 | 26 | 276084 |
| 182 | 16 | 276099 | 17 | 276101 |
| 181 | 13 | 276112 | 12 | 276113 |
| 180 | 17 | 276129 | 17 | 276130 |
| 179 | 9 | 276138 | 9 | 276139 |
| 178 | 7 | 276145 | 7 | 276146 |
| 177 | 13 | 276158 | 13 | 276159 |
| 176 | 7 | 276165 | 7 | 276166 |
| 175 | 15 | 276180 | 16 | 276182 |
| 174 | 2 | 276182 | 2 | 276184 |
| 173 | 8 | 276190 | 8 | 276192 |
| 172 | 11 | 276201 | 9 | 276201 |
| 171 | 4 | 276205 | 4 | 276205 |
| 170 | 10 | 276215 | 10 | 276215 |
| 169 | 9 | 276224 | 9 | 276224 |
| 168 | 6 | 276230 | 6 | 276230 |
| 167 | 6 | 276236 | 6 | 276236 |
| 166 | 7 | 276243 | 7 | 276243 |
| 165 | 3 | 276246 | 3 | 276246 |
| 164 | 3 | 276249 | 3 | 276249 |
| 163 | 5 | 276254 | 5 | 276254 |
| 162 | 6 | 276260 | 6 | 276260 |
| 161 | 5 | 276265 | 5 | 276265 |
| 160 | 7 | 276272 | 7 | 276272 |
| 159 | 6 | 276278 | 7 | 276279 |
| 158 | 3 | 276281 | 3 | 276282 |
| 157 | 6 | 276287 | 6 | 276288 |
| 156 | 5 | 276292 | 4 | 276292 |
| 155 | 7 | 276299 | 7 | 276299 |
| 154 | 7 | 276306 | 8 | 276307 |
| 153 | 4 | 276310 | 4 | 276311 |
| 152 | 3 | 276313 | 3 | 276314 |
| 151 | 7 | 276320 | 7 | 276321 |
| 150 | 1 | 276321 | 1 | 276322 |
| 149 | 5 | 276326 | 4 | 276326 |
| 147 | 1 | 276327 | 1 | 276327 |
| 146 | 8 | 276335 | 8 | 276335 |
| 145 | 2 | 276337 | 2 | 276337 |
| 144 | 2 | 276339 | 2 | 276339 |
| 143 | 3 | 276342 | 3 | 276342 |
| 142 | 3 | 276345 | 3 | 276345 |
| 140 | 2 | 276347 | 2 | 276347 |
| 139 | 4 | 276351 | 4 | 276351 |
| 138 | 2 | 276353 | 2 | 276353 |
| 137 | 2 | 276355 | 2 | 276355 |
| 136 | 2 | 276357 | 2 | 276357 |
| 135 | 1 | 276358 | 1 | 276358 |
| 134 | 2 | 276360 | 2 | 276360 |
| 132 | 4 | 276364 | 4 | 276364 |
| 131 | 1 | 276365 | 1 | 276365 |
| 130 | 2 | 276367 | 2 | 276367 |
| 129 | 3 | 276370 | 3 | 276370 |
| 128 | 2 | 276372 | 2 | 276372 |
| 127 | 4 | 276376 | 4 | 276376 |
| 126 | 2 | 276378 | 2 | 276378 |
| 123 | 1 | 276379 | 1 | 276379 |
| 122 | 3 | 276382 | 3 | 276382 |
| 121 | 2 | 276384 | 2 | 276384 |
| 119 | 3 | 276387 | 3 | 276387 |
| 118 | 3 | 276390 | 3 | 276390 |
| 115 | 2 | 276392 | 3 | 276393 |
| 114 | 1 | 276393 | 1 | 276394 |
| 113 | 4 | 276397 | 4 | 276398 |
| 112 | 1 | 276398 | 1 | 276399 |
| 111 | 2 | 276400 | 2 | 276401 |
| 110 | 1 | 276401 | 0 | 276401 |
| 109 | 3 | 276404 | 3 | 276404 |
| 108 | 1 | 276405 | 1 | 276405 |
| 105 | 2 | 276407 | 2 | 276407 |
| 103 | 2 | 276409 | 2 | 276409 |
| 102 | 1 | 276410 | 1 | 276410 |
| 100 | 2 | 276412 | 2 | 276412 |
| 100以下 | 898 | 277310 | 898 | 277310 |
2024湖南高考历史类一分一段表2024年湖南高考一分一段表还没有公布,小编会时刻关注最新湖南高考动态,为大家及时更新最新内容。湖南考生们可以先参考一下湖南2023年高考一分一段,大致了解自己的成绩排名。
| 湖南省2023年普通高考档分1分段统计表(历史科目组合) | ||||
| 档分 | 本段人数 | 累计人数 | 本段人数 | 累计人数 |
| (含全国性加分) | (含全国性和地方性加分) | |||
| 655 | 4 | 53 | 5 | 55 |
| 654 | 5 | 58 | 5 | 60 |
| 653 | 6 | 64 | 5 | 65 |
| 652 | 11 | 75 | 12 | 77 |
| 651 | 4 | 79 | 6 | 83 |
| 650 | 7 | 86 | 7 | 90 |
| 649 | 11 | 97 | 10 | 100 |
| 648 | 14 | 111 | 12 | 112 |
| 647 | 7 | 118 | 8 | 120 |
| 646 | 10 | 128 | 12 | 132 |
| 645 | 12 | 140 | 13 | 145 |
| 644 | 13 | 153 | 14 | 159 |
| 643 | 11 | 164 | 11 | 170 |
| 642 | 14 | 178 | 14 | 184 |
| 641 | 17 | 195 | 17 | 201 |
| 640 | 20 | 215 | 20 | 221 |
| 639 | 14 | 229 | 15 | 236 |
| 638 | 20 | 249 | 20 | 256 |
| 637 | 19 | 268 | 18 | 274 |
| 636 | 23 | 291 | 23 | 297 |
| 635 | 21 | 312 | 21 | 318 |
| 634 | 27 | 339 | 29 | 347 |
| 633 | 25 | 364 | 27 | 374 |
| 632 | 18 | 382 | 19 | 393 |
| 631 | 18 | 400 | 16 | 409 |
| 630 | 18 | 418 | 19 | 428 |
| 629 | 18 | 436 | 18 | 446 |
| 628 | 20 | 456 | 21 | 467 |
| 627 | 21 | 477 | 23 | 490 |
| 626 | 23 | 500 | 20 | 510 |
| 625 | 39 | 539 | 37 | 547 |
| 624 | 26 | 565 | 25 | 572 |
| 623 | 28 | 593 | 30 | 602 |
| 622 | 30 | 623 | 34 | 636 |
| 621 | 31 | 654 | 34 | 670 |
| 620 | 39 | 693 | 39 | 709 |
| 619 | 34 | 727 | 35 | 744 |
| 618 | 44 | 771 | 42 | 786 |
| 617 | 34 | 805 | 36 | 822 |
| 616 | 57 | 862 | 54 | 876 |
| 615 | 35 | 897 | 35 | 911 |
| 614 | 46 | 943 | 43 | 954 |
| 613 | 57 | 1000 | 62 | 1016 |
| 612 | 48 | 1048 | 50 | 1066 |
| 611 | 48 | 1096 | 53 | 1119 |
| 610 | 51 | 1147 | 46 | 1165 |
| 609 | 57 | 1204 | 62 | 1227 |
| 608 | 60 | 1264 | 60 | 1287 |
| 607 | 47 | 1311 | 51 | 1338 |
| 606 | 53 | 1364 | 51 | 1389 |
| 605 | 58 | 1422 | 62 | 1451 |
| 604 | 69 | 1491 | 66 | 1517 |
| 603 | 75 | 1566 | 73 | 1590 |
| 602 | 68 | 1634 | 61 | 1651 |
| 601 | 66 | 1700 | 65 | 1716 |
| 600 | 55 | 1755 | 53 | 1769 |
| 599 | 72 | 1827 | 75 | 1844 |
| 598 | 86 | 1913 | 89 | 1933 |
| 597 | 65 | 1978 | 70 | 2003 |
| 596 | 64 | 2042 | 72 | 2075 |
| 595 | 82 | 2124 | 85 | 2160 |
| 594 | 82 | 2206 | 82 | 2242 |
| 593 | 83 | 2289 | 78 | 2320 |
| 592 | 81 | 2370 | 81 | 2401 |
| 591 | 84 | 2454 | 80 | 2481 |
| 590 | 92 | 2546 | 94 | 2575 |
| 589 | 83 | 2629 | 83 | 2658 |
| 588 | 96 | 2725 | 95 | 2753 |
| 587 | 91 | 2816 | 91 | 2844 |
| 586 | 88 | 2904 | 97 | 2941 |
| 585 | 96 | 3000 | 101 | 3042 |
| 584 | 99 | 3099 | 99 | 3141 |
| 583 | 85 | 3184 | 92 | 3233 |
| 582 | 105 | 3289 | 108 | 3341 |
| 581 | 91 | 3380 | 95 | 3436 |
| 580 | 98 | 3478 | 89 | 3525 |
| 579 | 94 | 3572 | 96 | 3621 |
| 578 | 109 | 3681 | 107 | 3728 |
| 577 | 94 | 3775 | 105 | 3833 |
| 576 | 124 | 3899 | 116 | 3949 |
| 575 | 118 | 4017 | 125 | 4074 |
| 574 | 111 | 4128 | 112 | 4186 |
| 573 | 110 | 4238 | 105 | 4291 |
| 572 | 116 | 4354 | 111 | 4402 |
| 571 | 121 | 4475 | 119 | 4521 |
| 570 | 126 | 4601 | 122 | 4643 |
| 569 | 143 | 4744 | 144 | 4787 |
| 568 | 113 | 4857 | 114 | 4901 |
| 567 | 106 | 4963 | 109 | 5010 |
| 566 | 120 | 5083 | 115 | 5125 |
| 565 | 127 | 5210 | 125 | 5250 |
| 564 | 139 | 5349 | 140 | 5390 |
| 563 | 149 | 5498 | 151 | 5541 |
| 562 | 133 | 5631 | 140 | 5681 |
| 561 | 162 | 5793 | 163 | 5844 |
| 560 | 134 | 5927 | 136 | 5980 |
| 559 | 137 | 6064 | 138 | 6118 |
| 558 | 147 | 6211 | 151 | 6269 |
| 557 | 174 | 6385 | 169 | 6438 |
| 556 | 139 | 6524 | 138 | 6576 |
| 555 | 147 | 6671 | 147 | 6723 |
| 554 | 163 | 6834 | 164 | 6887 |
| 553 | 165 | 6999 | 167 | 7054 |
| 552 | 141 | 7140 | 152 | 7206 |
| 551 | 169 | 7309 | 170 | 7376 |
| 550 | 174 | 7483 | 182 | 7558 |
| 549 | 165 | 7648 | 176 | 7734 |
| 548 | 194 | 7842 | 185 | 7919 |
| 547 | 166 | 8008 | 161 | 8080 |
| 546 | 167 | 8175 | 168 | 8248 |
| 545 | 173 | 8348 | 174 | 8422 |
| 544 | 185 | 8533 | 173 | 8595 |
| 543 | 185 | 8718 | 183 | 8778 |
| 542 | 175 | 8893 | 177 | 8955 |
| 541 | 175 | 9068 | 180 | 9135 |
| 540 | 167 | 9235 | 167 | 9302 |
| 539 | 200 | 9435 | 194 | 9496 |
| 538 | 199 | 9634 | 207 | 9703 |
| 537 | 195 | 9829 | 195 | 9898 |
| 536 | 217 | 10046 | 223 | 10121 |
| 535 | 233 | 10279 | 231 | 10352 |
| 534 | 219 | 10498 | 222 | 10574 |
| 533 | 226 | 10724 | 216 | 10790 |
| 532 | 221 | 10945 | 216 | 11006 |
| 531 | 221 | 11166 | 234 | 11240 |
| 530 | 233 | 11399 | 242 | 11482 |
| 529 | 238 | 11637 | 247 | 11729 |
| 528 | 251 | 11888 | 246 | 11975 |
| 527 | 270 | 12158 | 272 | 12247 |
| 526 | 261 | 12419 | 253 | 12500 |
| 525 | 253 | 12672 | 250 | 12750 |
| 524 | 256 | 12928 | 261 | 13011 |
| 523 | 245 | 13173 | 247 | 13258 |
| 522 | 263 | 13436 | 272 | 13530 |
| 521 | 255 | 13691 | 260 | 13790 |
| 520 | 280 | 13971 | 275 | 14065 |
| 519 | 274 | 14245 | 275 | 14340 |
| 518 | 293 | 14538 | 290 | 14630 |
| 517 | 301 | 14839 | 299 | 14929 |
| 516 | 329 | 15168 | 327 | 15256 |
| 515 | 272 | 15440 | 269 | 15525 |
| 514 | 257 | 15697 | 256 | 15781 |
| 513 | 278 | 15975 | 282 | 16063 |
| 512 | 283 | 16258 | 279 | 16342 |
| 511 | 322 | 16580 | 329 | 16671 |
| 510 | 276 | 16856 | 283 | 16954 |
| 509 | 322 | 17178 | 328 | 17282 |
| 508 | 355 | 17533 | 345 | 17627 |
| 507 | 307 | 17840 | 310 | 17937 |
| 506 | 327 | 18167 | 328 | 18265 |
| 505 | 300 | 18467 | 301 | 18566 |
| 504 | 336 | 18803 | 335 | 18901 |
| 503 | 321 | 19124 | 332 | 19233 |
| 502 | 355 | 19479 | 365 | 19598 |
| 501 | 374 | 19853 | 382 | 19980 |
| 500 | 341 | 20194 | 339 | 20319 |
| 499 | 367 | 20561 | 362 | 20681 |
| 498 | 357 | 20918 | 355 | 21036 |
| 497 | 375 | 21293 | 383 | 21419 |
| 496 | 365 | 21658 | 361 | 21780 |
| 495 | 383 | 22041 | 379 | 22159 |
| 494 | 384 | 22425 | 399 | 22558 |
| 493 | 377 | 22802 | 386 | 22944 |
| 492 | 426 | 23228 | 402 | 23346 |
| 491 | 370 | 23598 | 370 | 23716 |
| 490 | 399 | 23997 | 396 | 24112 |
| 489 | 411 | 24408 | 421 | 24533 |
| 488 | 423 | 24831 | 407 | 24940 |
| 487 | 422 | 25253 | 430 | 25370 |
| 486 | 404 | 25657 | 398 | 25768 |
| 485 | 381 | 26038 | 390 | 26158 |
| 484 | 455 | 26493 | 461 | 26619 |
| 483 | 464 | 26957 | 477 | 27096 |
| 482 | 434 | 27391 | 438 | 27534 |
| 481 | 471 | 27862 | 463 | 27997 |
| 480 | 453 | 28315 | 458 | 28455 |
| 479 | 443 | 28758 | 448 | 28903 |
| 478 | 460 | 29218 | 462 | 29365 |
| 477 | 491 | 29709 | 482 | 29847 |
| 476 | 439 | 30148 | 440 | 30287 |
| 475 | 475 | 30623 | 471 | 30758 |
| 474 | 465 | 31088 | 457 | 31215 |
| 473 | 516 | 31604 | 511 | 31726 |
| 472 | 491 | 32095 | 499 | 32225 |
| 471 | 467 | 32562 | 494 | 32719 |
| 470 | 491 | 33053 | 502 | 33221 |
| 469 | 533 | 33586 | 520 | 33741 |
| 468 | 559 | 34145 | 549 | 34290 |
| 467 | 527 | 34672 | 523 | 34813 |
| 466 | 531 | 35203 | 539 | 35352 |
| 465 | 526 | 35729 | 543 | 35895 |
| 464 | 525 | 36254 | 523 | 36418 |
| 463 | 545 | 36799 | 534 | 36952 |
| 462 | 564 | 37363 | 554 | 37506 |
| 461 | 589 | 37952 | 580 | 38086 |
| 460 | 545 | 38497 | 554 | 38640 |
| 459 | 518 | 39015 | 525 | 39165 |
| 458 | 535 | 39550 | 527 | 39692 |
| 457 | 564 | 40114 | 559 | 40251 |
| 456 | 583 | 40697 | 580 | 40831 |
| 455 | 548 | 41245 | 545 | 41376 |
| 454 | 547 | 41792 | 556 | 41932 |
| 453 | 573 | 42365 | 581 | 42513 |
| 452 | 570 | 42935 | 566 | 43079 |
| 451 | 538 | 43473 | 546 | 43625 |
| 450 | 577 | 44050 | 574 | 44199 |
| 449 | 550 | 44600 | 556 | 44755 |
| 448 | 574 | 45174 | 594 | 45349 |
| 447 | 595 | 45769 | 597 | 45946 |
| 446 | 555 | 46324 | 554 | 46500 |
| 445 | 596 | 46920 | 590 | 47090 |
| 444 | 598 | 47518 | 598 | 47688 |
| 443 | 596 | 48114 | 592 | 48280 |
| 442 | 600 | 48714 | 600 | 48880 |
| 441 | 589 | 49303 | 592 | 49472 |
| 440 | 599 | 49902 | 592 | 50064 |
| 439 | 634 | 50536 | 620 | 50684 |
| 438 | 595 | 51131 | 584 | 51268 |
| 437 | 600 | 51731 | 594 | 51862 |
| 436 | 593 | 52324 | 595 | 52457 |
| 435 | 611 | 52935 | 616 | 53073 |
| 434 | 635 | 53570 | 654 | 53727 |
| 433 | 605 | 54175 | 603 | 54330 |
| 432 | 614 | 54789 | 615 | 54945 |
| 431 | 633 | 55422 | 627 | 55572 |
| 430 | 619 | 56041 | 624 | 56196 |
| 429 | 608 | 56649 | 616 | 56812 |
| 428 | 566 | 57215 | 569 | 57381 |
| 427 | 625 | 57840 | 629 | 58010 |
| 426 | 628 | 58468 | 627 | 58637 |
| 425 | 615 | 59083 | 615 | 59252 |
| 424 | 648 | 59731 | 639 | 59891 |
| 423 | 588 | 60319 | 604 | 60495 |
| 422 | 661 | 60980 | 647 | 61142 |
| 421 | 611 | 61591 | 605 | 61747 |
| 420 | 591 | 62182 | 593 | 62340 |
| 419 | 659 | 62841 | 670 | 63010 |
| 418 | 624 | 63465 | 631 | 63641 |
| 417 | 625 | 64090 | 624 | 64265 |
| 416 | 620 | 64710 | 622 | 64887 |
| 415 | 633 | 65343 | 619 | 65506 |
| 414 | 627 | 65970 | 625 | 66131 |
| 413 | 690 | 66660 | 688 | 66819 |
| 412 | 615 | 67275 | 623 | 67442 |
| 411 | 647 | 67922 | 635 | 68077 |
| 410 | 621 | 68543 | 618 | 68695 |
| 409 | 621 | 69164 | 617 | 69312 |
| 408 | 648 | 69812 | 646 | 69958 |
| 407 | 630 | 70442 | 632 | 70590 |
| 406 | 636 | 71078 | 648 | 71238 |
| 405 | 654 | 71732 | 658 | 71896 |
| 404 | 652 | 72384 | 651 | 72547 |
| 403 | 623 | 73007 | 624 | 73171 |
| 402 | 661 | 73668 | 667 | 73838 |
| 401 | 602 | 74270 | 590 | 74428 |
| 400 | 650 | 74920 | 655 | 75083 |
| 399 | 669 | 75589 | 668 | 75751 |
| 398 | 626 | 76215 | 633 | 76384 |
| 397 | 638 | 76853 | 654 | 77038 |
| 396 | 680 | 77533 | 688 | 77726 |
| 395 | 691 | 78224 | 706 | 78432 |
| 394 | 670 | 78894 | 667 | 79099 |
| 393 | 652 | 79546 | 656 | 79755 |
| 392 | 649 | 80195 | 627 | 80382 |
| 391 | 652 | 80847 | 658 | 81040 |
| 390 | 687 | 81534 | 672 | 81712 |
| 389 | 647 | 82181 | 647 | 82359 |
| 388 | 647 | 82828 | 647 | 83006 |
| 387 | 631 | 83459 | 616 | 83622 |
| 386 | 684 | 84143 | 680 | 84302 |
| 385 | 649 | 84792 | 651 | 84953 |
| 384 | 639 | 85431 | 648 | 85601 |
| 383 | 661 | 86092 | 660 | 86261 |
| 382 | 675 | 86767 | 676 | 86937 |
| 381 | 627 | 87394 | 631 | 87568 |
| 380 | 675 | 88069 | 683 | 88251 |
| 379 | 625 | 88694 | 634 | 88885 |
| 378 | 660 | 89354 | 650 | 89535 |
| 377 | 661 | 90015 | 676 | 90211 |
| 376 | 634 | 90649 | 634 | 90845 |
| 375 | 677 | 91326 | 677 | 91522 |
| 374 | 686 | 92012 | 671 | 92193 |
| 373 | 707 | 92719 | 719 | 92912 |
| 372 | 675 | 93394 | 666 | 93578 |
| 371 | 599 | 93993 | 610 | 94188 |
| 370 | 620 | 94613 | 616 | 94804 |
| 369 | 678 | 95291 | 674 | 95478 |
| 368 | 663 | 95954 | 667 | 96145 |
| 367 | 621 | 96575 | 630 | 96775 |
| 366 | 671 | 97246 | 646 | 97421 |
| 365 | 647 | 97893 | 644 | 98065 |
| 364 | 658 | 98551 | 647 | 98712 |
| 363 | 651 | 99202 | 648 | 99360 |
| 362 | 627 | 99829 | 607 | 99967 |
| 361 | 658 | 100487 | 653 | 100620 |
| 360 | 612 | 101099 | 620 | 101240 |
| 359 | 612 | 101711 | 626 | 101866 |
| 358 | 637 | 102348 | 651 | 102517 |
| 357 | 674 | 103022 | 671 | 103188 |
| 356 | 644 | 103666 | 647 | 103835 |
| 355 | 668 | 104334 | 662 | 104497 |
| 354 | 641 | 104975 | 656 | 105153 |
| 353 | 643 | 105618 | 644 | 105797 |
| 352 | 604 | 106222 | 605 | 106402 |
| 351 | 620 | 106842 | 629 | 107031 |
| 350 | 648 | 107490 | 645 | 107676 |
| 349 | 620 | 108110 | 600 | 108276 |
| 348 | 637 | 108747 | 628 | 108904 |
| 347 | 614 | 109361 | 613 | 109517 |
| 346 | 657 | 110018 | 669 | 110186 |
| 345 | 574 | 110592 | 576 | 110762 |
| 344 | 629 | 111221 | 615 | 111377 |
| 343 | 636 | 111857 | 636 | 112013 |
| 342 | 598 | 112455 | 598 | 112611 |
| 341 | 614 | 113069 | 608 | 113219 |
| 340 | 585 | 113654 | 592 | 113811 |
| 339 | 586 | 114240 | 579 | 114390 |
| 338 | 587 | 114827 | 593 | 114983 |
| 337 | 583 | 115410 | 577 | 115560 |
| 336 | 540 | 115950 | 538 | 116098 |
| 335 | 573 | 116523 | 576 | 116674 |
| 334 | 570 | 117093 | 583 | 117257 |
| 333 | 605 | 117698 | 603 | 117860 |
| 332 | 565 | 118263 | 556 | 118416 |
| 331 | 546 | 118809 | 561 | 118977 |
| 330 | 549 | 119358 | 544 | 119521 |
| 329 | 557 | 119915 | 550 | 120071 |
| 328 | 535 | 120450 | 524 | 120595 |
| 327 | 501 | 120951 | 504 | 121099 |
| 326 | 510 | 121461 | 509 | 121608 |
| 325 | 604 | 122065 | 606 | 122214 |
| 324 | 503 | 122568 | 501 | 122715 |
| 323 | 523 | 123091 | 525 | 123240 |
| 322 | 541 | 123632 | 543 | 123783 |
| 321 | 525 | 124157 | 517 | 124300 |
| 320 | 539 | 124696 | 542 | 124842 |
| 319 | 546 | 125242 | 540 | 125382 |
| 318 | 535 | 125777 | 527 | 125909 |
| 317 | 466 | 126243 | 473 | 126382 |
| 316 | 514 | 126757 | 506 | 126888 |
| 315 | 482 | 127239 | 475 | 127363 |
| 314 | 499 | 127738 | 498 | 127861 |
| 313 | 492 | 128230 | 495 | 128356 |
| 312 | 498 | 128728 | 497 | 128853 |
| 311 | 462 | 129190 | 469 | 129322 |
| 310 | 459 | 129649 | 461 | 129783 |
| 309 | 499 | 130148 | 483 | 130266 |
| 308 | 435 | 130583 | 445 | 130711 |
| 307 | 448 | 131031 | 448 | 131159 |
| 306 | 455 | 131486 | 451 | 131610 |
| 305 | 467 | 131953 | 458 | 132068 |
| 304 | 427 | 132380 | 421 | 132489 |
| 303 | 441 | 132821 | 447 | 132936 |
| 302 | 447 | 133268 | 441 | 133377 |
| 301 | 450 | 133718 | 435 | 133812 |
| 300 | 441 | 134159 | 451 | 134263 |
| 299 | 408 | 134567 | 414 | 134677 |
| 298 | 422 | 134989 | 429 | 135106 |
| 297 | 447 | 135436 | 457 | 135563 |
| 296 | 410 | 135846 | 405 | 135968 |
| 295 | 412 | 136258 | 406 | 136374 |
| 294 | 419 | 136677 | 417 | 136791 |
| 293 | 383 | 137060 | 380 | 137171 |
| 292 | 389 | 137449 | 395 | 137566 |
| 291 | 387 | 137836 | 387 | 137953 |
| 290 | 399 | 138235 | 402 | 138355 |
| 289 | 372 | 138607 | 377 | 138732 |
| 288 | 361 | 138968 | 353 | 139085 |
| 287 | 386 | 139354 | 375 | 139460 |
| 286 | 401 | 139755 | 389 | 139849 |
| 285 | 364 | 140119 | 366 | 140215 |
| 284 | 370 | 140489 | 369 | 140584 |
| 283 | 368 | 140857 | 372 | 140956 |
| 282 | 380 | 141237 | 370 | 141326 |
| 281 | 343 | 141580 | 342 | 141668 |
| 280 | 364 | 141944 | 360 | 142028 |
| 279 | 358 | 142302 | 363 | 142391 |
| 278 | 335 | 142637 | 334 | 142725 |
| 277 | 360 | 142997 | 362 | 143087 |
| 276 | 323 | 143320 | 325 | 143412 |
| 275 | 314 | 143634 | 314 | 143726 |
| 274 | 345 | 143979 | 333 | 144059 |
| 273 | 320 | 144299 | 314 | 144373 |
| 272 | 318 | 144617 | 321 | 144694 |
| 271 | 307 | 144924 | 305 | 144999 |
| 270 | 300 | 145224 | 293 | 145292 |
| 269 | 344 | 145568 | 339 | 145631 |
| 268 | 295 | 145863 | 304 | 145935 |
| 267 | 292 | 146155 | 288 | 146223 |
| 266 | 329 | 146484 | 323 | 146546 |
| 265 | 309 | 146793 | 301 | 146847 |
| 264 | 301 | 147094 | 301 | 147148 |
| 263 | 293 | 147387 | 293 | 147441 |
| 262 | 295 | 147682 | 299 | 147740 |
| 261 | 285 | 147967 | 285 | 148025 |
| 260 | 254 | 148221 | 249 | 148274 |
| 259 | 246 | 148467 | 247 | 148521 |
| 258 | 286 | 148753 | 282 | 148803 |
| 257 | 272 | 149025 | 272 | 149075 |
| 256 | 246 | 149271 | 248 | 149323 |
| 255 | 250 | 149521 | 254 | 149577 |
| 254 | 248 | 149769 | 247 | 149824 |
| 253 | 242 | 150011 | 235 | 150059 |
| 252 | 229 | 150240 | 230 | 150289 |
| 251 | 229 | 150469 | 223 | 150512 |
| 250 | 224 | 150693 | 225 | 150737 |
| 249 | 215 | 150908 | 212 | 150949 |
| 248 | 221 | 151129 | 214 | 151163 |
| 247 | 229 | 151358 | 221 | 151384 |
| 246 | 227 | 151585 | 229 | 151613 |
| 245 | 201 | 151786 | 199 | 151812 |
| 244 | 189 | 151975 | 191 | 152003 |
| 243 | 204 | 152179 | 205 | 152208 |
| 242 | 182 | 152361 | 179 | 152387 |
| 241 | 195 | 152556 | 194 | 152581 |
| 240 | 177 | 152733 | 178 | 152759 |
| 239 | 184 | 152917 | 186 | 152945 |
| 238 | 163 | 153080 | 156 | 153101 |
| 237 | 142 | 153222 | 140 | 153241 |
| 236 | 158 | 153380 | 153 | 153394 |
| 235 | 170 | 153550 | 171 | 153565 |
| 234 | 151 | 153701 | 152 | 153717 |
| 233 | 180 | 153881 | 178 | 153895 |
| 232 | 171 | 154052 | 173 | 154068 |
| 231 | 140 | 154192 | 138 | 154206 |
| 230 | 146 | 154338 | 144 | 154350 |
| 229 | 139 | 154477 | 135 | 154485 |
| 228 | 130 | 154607 | 130 | 154615 |
| 227 | 125 | 154732 | 127 | 154742 |
| 226 | 115 | 154847 | 114 | 154856 |
| 225 | 132 | 154979 | 134 | 154990 |
| 224 | 124 | 155103 | 121 | 155111 |
| 223 | 130 | 155233 | 127 | 155238 |
| 222 | 112 | 155345 | 111 | 155349 |
| 221 | 114 | 155459 | 114 | 155463 |
| 220 | 102 | 155561 | 103 | 155566 |
| 219 | 125 | 155686 | 125 | 155691 |
| 218 | 113 | 155799 | 112 | 155803 |
| 217 | 95 | 155894 | 95 | 155898 |
| 216 | 106 | 156000 | 106 | 156004 |
| 215 | 97 | 156097 | 98 | 156102 |
| 214 | 89 | 156186 | 90 | 156192 |
| 213 | 94 | 156280 | 93 | 156285 |
| 212 | 64 | 156344 | 63 | 156348 |
| 211 | 81 | 156425 | 79 | 156427 |
| 210 | 77 | 156502 | 80 | 156507 |
| 209 | 77 | 156579 | 76 | 156583 |
| 208 | 57 | 156636 | 57 | 156640 |
| 207 | 65 | 156701 | 66 | 156706 |
| 206 | 53 | 156754 | 54 | 156760 |
| 205 | 54 | 156808 | 51 | 156811 |
| 204 | 53 | 156861 | 54 | 156865 |
| 203 | 60 | 156921 | 59 | 156924 |
| 202 | 61 | 156982 | 61 | 156985 |
| 201 | 53 | 157035 | 53 | 157038 |
| 200 | 60 | 157095 | 60 | 157098 |
| 199 | 46 | 157141 | 46 | 157144 |
| 198 | 44 | 157185 | 46 | 157190 |
| 197 | 51 | 157236 | 49 | 157239 |
| 196 | 44 | 157280 | 44 | 157283 |
| 195 | 43 | 157323 | 42 | 157325 |
| 194 | 64 | 157387 | 63 | 157388 |
| 193 | 52 | 157439 | 52 | 157440 |
| 192 | 41 | 157480 | 41 | 157481 |
| 191 | 31 | 157511 | 31 | 157512 |
| 190 | 40 | 157551 | 41 | 157553 |
| 189 | 41 | 157592 | 41 | 157594 |
| 188 | 25 | 157617 | 24 | 157618 |
| 187 | 37 | 157654 | 37 | 157655 |
| 186 | 35 | 157689 | 36 | 157691 |
| 185 | 27 | 157716 | 28 | 157719 |
| 184 | 24 | 157740 | 24 | 157743 |
| 183 | 13 | 157753 | 14 | 157757 |
| 182 | 25 | 157778 | 25 | 157782 |
| 181 | 19 | 157797 | 19 | 157801 |
| 180 | 19 | 157816 | 18 | 157819 |
| 179 | 19 | 157835 | 19 | 157838 |
| 178 | 12 | 157847 | 12 | 157850 |
| 177 | 27 | 157874 | 26 | 157876 |
| 176 | 24 | 157898 | 23 | 157899 |
| 175 | 15 | 157913 | 14 | 157913 |
| 174 | 16 | 157929 | 16 | 157929 |
| 173 | 19 | 157948 | 20 | 157949 |
| 172 | 11 | 157959 | 11 | 157960 |
| 171 | 15 | 157974 | 15 | 157975 |
| 170 | 19 | 157993 | 18 | 157993 |
| 169 | 16 | 158009 | 16 | 158009 |
| 168 | 15 | 158024 | 15 | 158024 |
| 167 | 7 | 158031 | 7 | 158031 |
| 166 | 16 | 158047 | 16 | 158047 |
| 165 | 12 | 158059 | 12 | 158059 |
| 164 | 14 | 158073 | 14 | 158073 |
| 163 | 11 | 158084 | 11 | 158084 |
| 162 | 12 | 158096 | 12 | 158096 |
| 161 | 13 | 158109 | 13 | 158109 |
| 160 | 9 | 158118 | 9 | 158118 |
| 159 | 10 | 158128 | 10 | 158128 |
| 158 | 9 | 158137 | 9 | 158137 |
| 157 | 11 | 158148 | 11 | 158148 |
| 156 | 4 | 158152 | 4 | 158152 |
| 155 | 6 | 158158 | 6 | 158158 |
| 154 | 6 | 158164 | 6 | 158164 |
| 153 | 3 | 158167 | 3 | 158167 |
| 152 | 6 | 158173 | 6 | 158173 |
| 151 | 7 | 158180 | 7 | 158180 |
| 150 | 7 | 158187 | 7 | 158187 |
| 149 | 10 | 158197 | 10 | 158197 |
| 148 | 9 | 158206 | 9 | 158206 |
| 147 | 11 | 158217 | 11 | 158217 |
| 146 | 7 | 158224 | 7 | 158224 |
| 145 | 2 | 158226 | 2 | 158226 |
| 144 | 5 | 158231 | 5 | 158231 |
| 143 | 3 | 158234 | 3 | 158234 |
| 142 | 3 | 158237 | 3 | 158237 |
| 141 | 4 | 158241 | 4 | 158241 |
| 140 | 6 | 158247 | 6 | 158247 |
| 139 | 2 | 158249 | 2 | 158249 |
| 138 | 2 | 158251 | 2 | 158251 |
| 137 | 3 | 158254 | 3 | 158254 |
| 135 | 2 | 158256 | 2 | 158256 |
| 134 | 4 | 158260 | 4 | 158260 |
| 133 | 2 | 158262 | 3 | 158263 |
| 132 | 4 | 158266 | 4 | 158267 |
| 131 | 7 | 158273 | 7 | 158274 |
| 130 | 5 | 158278 | 4 | 158278 |
| 129 | 1 | 158279 | 1 | 158279 |
| 128 | 1 | 158280 | 1 | 158280 |
| 127 | 4 | 158284 | 4 | 158284 |
| 126 | 5 | 158289 | 5 | 158289 |
| 125 | 2 | 158291 | 2 | 158291 |
| 124 | 3 | 158294 | 3 | 158294 |
| 123 | 1 | 158295 | 1 | 158295 |
| 122 | 3 | 158298 | 3 | 158298 |
| 121 | 1 | 158299 | 1 | 158299 |
| 120 | 1 | 158300 | 1 | 158300 |
| 119 | 4 | 158304 | 4 | 158304 |
| 118 | 1 | 158305 | 1 | 158305 |
| 117 | 1 | 158306 | 1 | 158306 |
| 116 | 2 | 158308 | 2 | 158308 |
| 115 | 2 | 158310 | 2 | 158310 |
| 114 | 1 | 158311 | 1 | 158311 |
| 113 | 3 | 158314 | 3 | 158314 |
| 112 | 2 | 158316 | 2 | 158316 |
| 111 | 1 | 158317 | 1 | 158317 |
| 109 | 1 | 158318 | 1 | 158318 |
| 108 | 2 | 158320 | 3 | 158321 |
| 107 | 1 | 158321 | 1 | 158322 |
| 106 | 2 | 158323 | 2 | 158324 |
| 100 | 1 | 158324 | 1 | 158325 |
| 100以下 | 1165 | 159489 | 1164 | 159489 |
2022年湖南高考位次对应大学排名
| 大学 | 首选科目 | 选科要求 | 省市 | 办学 | 2022年 | 2022年 |
| 清华大学第1组 | 历史 | 不限 | 北京 | 公立 | 650 | 54 |
| 北京大学第3组(国家专项) | 历史 | 思想政治 | 北京 | 公立 | 644 | 54 |
| 北京大学第1组 | 历史 | 不限 | 北京 | 公立 | 640 | 54 |
| 复旦大学第1组 | 历史 | 不限 | 上海 | 公立 | 638 | 54 |
| 北京大学第2组(国家专项) | 历史 | 不限 | 北京 | 公立 | 636 | 69 |
| 上海交通大学第1组 | 历史 | 不限 | 上海 | 公立 | 636 | 69 |
| 清华大学第2组(国家专项) | 历史 | 不限 | 北京 | 公立 | 635 | 74 |
| 复旦大学第2组 | 历史 | 不限 | 上海 | 公立 | 632 | 105 |
| 中国人民大学第2组 | 历史 | 思想政治 | 北京 | 公立 | 632 | 105 |
| 中国人民大学第1组 | 历史 | 不限 | 北京 | 公立 | 632 | 105 |
| 中国人民大学第3组(国家专项) | 历史 | 不限 | 北京 | 公立 | 630 | 123 |
| 北京大学医学部第1组(国家专项) | 历史 | 不限 | 北京 | 公立 | 628 | 142 |
| 中国人民大学第6组(国家专项) | 历史 | 思想政治 | 北京 | 公立 | 628 | 142 |
| 复旦大学第3组(国家专项) | 历史 | 不限 | 上海 | 公立 | 626 | 170 |
| 浙江大学第5组 | 历史 | 不限 | 浙江 | 公立 | 625 | 186 |
| 南京大学第1组 | 历史 | 不限 | 江苏 | 公立 | 624 | 198 |
| 上海交通大学第2组(国家专项) | 历史 | 不限 | 上海 | 公立 | 621 | 247 |
| 北京师范大学第2组 | 历史 | 不限 | 北京 | 公立 | 620 | 264 |
| 北京师范大学第4组 | 历史 | 思想政治 | 北京 | 公立 | 618 | 300 |
| 南京大学第2组(国家专项) | 历史 | 不限 | 江苏 | 公立 | 617 | 324 |
| 武汉大学第1组 | 历史 | 不限 | 湖北 | 公立 | 615 | 371 |
| 浙江大学第6组(国家专项) | 历史 | 不限 | 浙江 | 公立 | 614 | 398 |
| 上海财经大学第1组 | 历史 | 不限 | 上海 | 公立 | 614 | 398 |
| 厦门大学第2组 | 历史 | 不限 | 福建 | 公立 | 613 | 422 |
| 中山大学第2组 | 历史 | 不限 | 广东 | 公立 | 612 | 455 |
| 同济大学第2组 | 历史 | 思想政治 | 上海 | 公立 | 610 | 513 |
| 同济大学第1组 | 历史 | 不限 | 上海 | 公立 | 609 | 553 |
| 厦门大学第1组 | 历史 | 不限 | 福建 | 公立 | 609 | 553 |
| 北京师范大学第5组(国家专项) | 历史 | 不限 | 北京 | 公立 | 609 | 553 |
| 中山大学第4组 | 历史 | 不限 | 广东 | 公立 | 609 | 553 |
| 南开大学第3组 | 历史 | 不限 | 天津 | 公立 | 608 | 589 |
| 华东师范大学第1组 | 历史 | 不限 | 上海 | 公立 | 608 | 589 |
| 北京航空航天大学第1组 | 历史 | 不限 | 北京 | 公立 | 608 | 589 |
| 厦门大学第4组(国家专项) | 历史 | 不限 | 福建 | 公立 | 606 | 671 |
| 南开大学第5组(民族班) | 历史 | 不限 | 天津 | 公立 | 604 | 762 |
| 南开大学第4组(国家专项) | 历史 | 不限 | 天津 | 公立 | 604 | 762 |
| 华中科技大学第3组 | 历史 | 不限 | 湖北 | 公立 | 604 | 762 |
| 四川大学第5组 | 历史 | 不限 | 四川 | 公立 | 603 | 810 |
| 哈尔滨工业大学(深圳)第1组 | 历史 | 不限 | 广东 | 公立 | 603 | 810 |
| 北京师范大学第3组 | 历史 | 不限 | 北京 | 公立 | 603 | 810 |
| 中山大学第10组(国家专项) | 历史 | 不限 | 广东 | 公立 | 603 | 810 |
| 西安交通大学第5组 | 历史 | 思想政治 | 陕西 | 公立 | 602 | 856 |
| 北京理工大学第1组 | 历史 | 不限 | 北京 | 公立 | 602 | 856 |
| 东南大学第3组 | 历史 | 不限 | 江苏 | 公立 | 602 | 856 |
| 四川大学第6组 | 历史 | 思想政治 | 四川 | 公立 | 601 | 897 |
| 武汉大学第2组 | 历史 | 化学/生物 | 湖北 | 公立 | 600 | 944 |
| 西安交通大学第4组 | 历史 | 不限 | 陕西 | 公立 | 599 | 1010 |
| 厦门大学第14组(少数民族预科班) | 历史 | 不限 | 福建 | 公立 | 599 | 1010 |
| 中南大学第3组 | 历史 | 不限 | 湖南 | 公立 | 598 | 1081 |
| 西安交通大学第7组(国家专项) | 历史 | 思想政治 | 陕西 | 公立 | 597 | 1144 |
| 山东大学第1组 | 历史 | 不限 | 山东 | 公立 | 597 | 1144 |
| 四川大学第9组(国家专项) | 历史 | 不限 | 四川 | 公立 | 597 | 1144 |
| 山东大学第2组 | 历史 | 思想政治 | 山东 | 公立 | 596 | 1210 |
| 上海财经大学第2组(国家专项) | 历史 | 不限 | 上海 | 公立 | 594 | 1343 |
| 东南大学第4组(国家专项) | 历史 | 不限 | 江苏 | 公立 | 592 | 1497 |
| 中南大学第4组(国家专项) | 历史 | 不限 | 湖南 | 公立 | 590 | 1644 |
| 北京邮电大学第3组 | 历史 | 不限 | 北京 | 公立 | 586 | 1992 |
| 中南大学第11组(少数民族预科班) | 历史 | 不限 | 湖南 | 公立 | 586 | 1992 |
| 武汉大学第2组 | 历史 | 不限 | 湖北 | 公立 | 585 | 2085 |
| 厦门大学第3组 | 历史 | 不限 | 福建 | 公立 | 562 | 5074 |
| 武汉大学第4组(国家专项) | 历史 | 不限 | 湖北 | 公立 | - | - |
| 武汉大学第3组 | 历史 | 思想政治 | 湖北 | 公立 | - | - |
| 四川大学第10组(国家专项) | 历史 | 思想政治 | 四川 | 公立 | - | - |
| 华东师范大学第2组(国家专项) | 历史 | 不限 | 上海 | 公立 | - | - |
| 清华大学第4组 | 物理 | 化学 | 北京 | 公立 | 678 | 59 |
| 清华大学第2组 | 物理 | 不限 | 北京 | 公立 | 674 | 59 |
| 北京大学第2组 | 物理 | 不限 | 北京 | 公立 | 672 | 72 |
| 清华大学第4组 | 物理 | 化学 | 北京 | 公立 | 670 | 83 |
| 清华大学第3组 | 物理 | 不限 | 北京 | 公立 | 669 | 95 |
| 上海交通大学第2组 | 物理 | 不限 | 上海 | 公立 | 666 | 135 |
| 北京大学医学部第1组 | 物理 | 化学 | 北京 | 公立 | 665 | 150 |
| 上海交通大学医学院第1组 | 物理 | 化学 | 上海 | 公立 | 664 | 161 |
| 复旦大学医学院第1组 | 物理 | 化学/生物 | 上海 | 公立 | 661 | 203 |
| 清华大学第5组(国家专项) | 物理 | 不限 | 北京 | 公立 | 660 | 220 |
| 复旦大学第3组 | 物理 | 不限 | 上海 | 公立 | 659 | 249 |
| 中国科学院大学第2组 | 物理 | 化学 | 北京 | 公立 | 659 | 249 |
| 中国科学院大学第1组 | 物理 | 不限 | 北京 | 公立 | 659 | 249 |
| 清华大学第6组(国家专项) | 物理 | 化学 | 北京 | 公立 | 658 | 273 |
| 北京大学第6组(国家专项) | 物理 | 化学 | 北京 | 公立 | 658 | 273 |
| 北京大学第5组(国家专项) | 物理 | 不限 | 北京 | 公立 | 657 | 296 |
| 上海交通大学第3组 | 物理 | 不限 | 上海 | 公立 | 656 | 322 |
| 浙江大学第6组 | 物理 | 不限 | 浙江 | 公立 | 654 | 400 |
| 复旦大学第4组 | 物理 | 不限 | 上海 | 公立 | 652 | 474 |
| 中国科学院大学第3组(国家专项) | 物理 | 不限 | 北京 | 公立 | 651 | 507 |
| 复旦大学第5组 | 物理 | 化学 | 上海 | 公立 | 650 | 546 |
| 中国科学技术大学第1组 | 物理 | 不限 | 安徽 | 公立 | 650 | 546 |
| 南京大学第3组 | 物理 | 化学 | 江苏 | 公立 | 649 | 586 |
| 中国人民大学第3组 | 物理 | 不限 | 北京 | 公立 | 648 | 624 |
| 中国科学技术大学第2组 | 物理 | 化学 | 安徽 | 公立 | 647 | 686 |
| 南京大学第2组 | 物理 | 不限 | 江苏 | 公立 | 646 | 738 |
| 北京大学医学部第4组(国家专项) | 物理 | 化学 | 北京 | 公立 | 646 | 738 |
| 复旦大学第8组(国家专项) | 物理 | 化学 | 上海 | 公立 | 645 | 798 |
| 上海交通大学第4组 | 物理 | 不限 | 上海 | 公立 | 645 | 798 |
| 复旦大学第7组(国家专项) | 物理 | 不限 | 上海 | 公立 | 642 | 998 |
| 中南大学第8组 | 物理 | 化学/生物 | 湖南 | 公立 | 640 | 1137 |
| 上海交通大学第6组(国家专项) | 物理 | 不限 | 上海 | 公立 | 640 | 1137 |
| 北京航空航天大学第2组 | 物理 | 不限 | 北京 | 公立 | 639 | 1215 |
| 北京大学医学部第3组(国家专项) | 物理 | 不限 | 北京 | 公立 | 639 | 1215 |
| 四川大学第12组 | 物理 | 化学/生物 | 四川 | 公立 | 638 | 1300 |
| 中国科学技术大学第3组(国家专项) | 物理 | 不限 | 安徽 | 公立 | 638 | 1300 |
| 上海交通大学医学院第3组(国家专项) | 物理 | 化学 | 上海 | 公立 | 637 | 1403 |
| 华中科技大学第7组 | 物理 | 化学/生物 | 湖北 | 公立 | 636 | 1503 |
| 上海交通大学医学院第2组 | 物理 | 化学 | 上海 | 公立 | 636 | 1503 |
| 浙江大学第8组(国家专项) | 物理 | 不限 | 浙江 | 公立 | 635 | 1597 |
| 复旦大学医学院第2组(国家专项) | 物理 | 化学/生物 | 上海 | 公立 | 633 | 1813 |
| 哈尔滨工业大学(深圳)第2组 | 物理 | 不限 | 广东 | 公立 | 633 | 1813 |
| 同济大学第6组 | 物理 | 化学/生物 | 上海 | 公立 | 633 | 1813 |
| 同济大学第3组 | 物理 | 不限 | 上海 | 公立 | 633 | 1813 |
| 南京大学第5组(国家专项) | 物理 | 不限 | 江苏 | 公立 | 633 | 1813 |
| 中国科学技术大学第4组(国家专项) | 物理 | 化学 | 安徽 | 公立 | 633 | 1813 |
| 同济大学第5组 | 物理 | 化学 | 上海 | 公立 | 632 | 1925 |
| 北京航空航天大学第4组(民族班) | 物理 | 不限 | 北京 | 公立 | 632 | 1925 |
| 中国人民大学第5组(国家专项) | 物理 | 不限 | 北京 | 公立 | 632 | 1925 |
| 浙江大学第9组(国家专项) | 物理 | 化学 | 浙江 | 公立 | 631 | 2043 |
| 四川大学第10组 | 物理 | 化学 | 四川 | 公立 | 631 | 2043 |
| 北京理工大学第2组 | 物理 | 不限 | 北京 | 公立 | 631 | 2043 |
| 北京师范大学第7组 | 物理 | 化学 | 北京 | 公立 | 630 | 2157 |
| 北京师范大学第6组 | 物理 | 不限 | 北京 | 公立 | 630 | 2157 |
| 中国人民大学第9组(国家专项) | 物理 | 化学 | 北京 | 公立 | 630 | 2157 |
| 北京邮电大学第4组 | 物理 | 不限 | 北京 | 公立 | 629 | 2275 |
| 武汉大学第7组 | 物理 | 化学 | 湖北 | 公立 | 627 | 2536 |
| 武汉大学第4组 | 物理 | 不限 | 湖北 | 公立 | 627 | 2536 |
| 华中科技大学第4组 | 物理 | 不限 | 湖北 | 公立 | 627 | 2536 |
| 哈尔滨工业大学第1组 | 物理 | 不限 | 黑龙江 | 公立 | 626 | 2685 |
| 同济大学第4组(中外合作办学或国际项目) | 物理 | 不限 | 上海 | 公立 | 626 | 2685 |
| 北京航空航天大学第3组(国家专项) | 物理 | 不限 | 北京 | 公立 | 626 | 2685 |
| 国防科技大学第9组 | 物理 | 不限 | 湖南 | 公立 | 625 | 2836 |
| 南开大学第4组 | 物理 | 不限 | 天津 | 公立 | 625 | 2836 |
| 北京理工大学第6组(民族班) | 物理 | 不限 | 北京 | 公立 | 625 | 2836 |
| 西安交通大学第6组 | 物理 | 不限 | 陕西 | 公立 | 624 | 2991 |
| 南京大学第6组(国家专项) | 物理 | 化学 | 江苏 | 公立 | 624 | 2991 |
| 华东师范大学第4组 | 物理 | 化学 | 上海 | 公立 | 624 | 2991 |
| 中山大学第4组 | 物理 | 化学/生物 | 广东 | 公立 | 624 | 2991 |
| 中山大学第3组 | 物理 | 不限 | 广东 | 公立 | 624 | 2991 |
| 电子科技大学第1组 | 物理 | 不限 | 四川 | 公立 | 623 | 3155 |
| 武汉大学第8组 | 物理 | 化学/生物 | 湖北 | 公立 | 623 | 3155 |
| 厦门大学第4组 | 物理 | 不限 | 福建 | 公立 | 623 | 3155 |
| 华东师范大学第5组 | 物理 | 化学/生物 | 上海 | 公立 | 623 | 3155 |
| 华东师范大学第3组 | 物理 | 不限 | 上海 | 公立 | 623 | 3155 |
| 北京理工大学第4组(国家专项) | 物理 | 不限 | 北京 | 公立 | 623 | 3155 |
| 山东大学第5组 | 物理 | 化学/生物 | 山东 | 公立 | 622 | 3294 |
| 中山大学第7组 | 物理 | 不限 | 广东 | 公立 | 622 | 3294 |
| 西安交通大学第8组 | 物理 | 化学 | 陕西 | 公立 | 621 | 3474 |
| 电子科技大学(沙河校区)第1组 | 物理 | 不限 | 四川 | 公立 | 621 | 3474 |
| 南开大学第7组(国家专项) | 物理 | 不限 | 天津 | 公立 | 621 | 3474 |
| 南开大学第5组 | 物理 | 化学/生物 | 天津 | 公立 | 621 | 3474 |
| 华中科技大学第19组(国家专项) | 物理 | 化学/生物 | 湖北 | 公立 | 621 | 3474 |
| 东南大学第4组 | 物理 | 不限 | 江苏 | 公立 | 621 | 3474 |
| 首都医科大学第1组 | 物理 | 化学 | 北京 | 公立 | 620 | 3647 |
| 武汉大学第9组(国家专项) | 物理 | 不限 | 湖北 | 公立 | 620 | 3647 |
| 厦门大学第5组 | 物理 | 不限 | 福建 | 公立 | 620 | 3647 |
| 中山大学第5组 | 物理 | 化学/生物 | 广东 | 公立 | 620 | 3647 |
| 上海财经大学第2组 | 物理 | 不限 | 上海 | 公立 | 620 | 3647 |
| 厦门大学第7组 | 物理 | 化学 | 福建 | 公立 | 619 | 3808 |
| 中南大学第7组 | 物理 | 化学/生物 | 湖南 | 公立 | 619 | 3808 |
| 同济大学第7组(国家专项) | 物理 | 不限 | 上海 | 公立 | 618 | 3976 |
| 厦门大学第9组 | 物理 | 化学/生物 | 福建 | 公立 | 618 | 3976 |
| 华东师范大学第2组 | 物理 | 不限 | 上海 | 公立 | 618 | 3976 |
| 北京邮电大学第4组 | 物理 | 不限 | 北京 | 公立 | 618 | 3976 |
| 北京师范大学第8组(国家专项) | 物理 | 不限 | 北京 | 公立 | 618 | 3976 |
| 北京理工大学第7组(民族班) | 物理 | 化学 | 北京 | 公立 | 616 | 4373 |
| 北京理工大学第5组(国家专项) | 物理 | 化学 | 北京 | 公立 | 616 | 4373 |
| 武汉大学第5组(中外合作办学或国际项目) | 物理 | 不限 | 湖北 | 公立 | 614 | 4772 |
| 电子科技大学第2组(国家专项) | 物理 | 不限 | 四川 | 公立 | 613 | 4971 |
发表评论